Free Access

Fig. 13

image

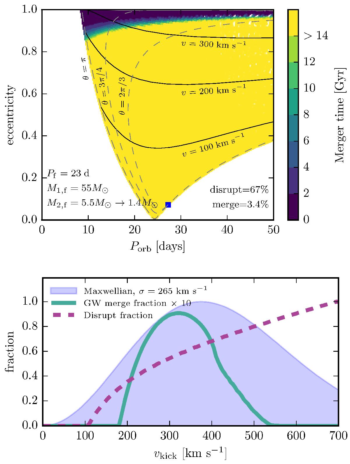
Top: Possible post-kick orbital properties for a NS-BH binary formed from a low-metallicity system (log  Z = 10-3.5) that passed through a ULX phase. The period and masses shown correspond to the pre-SN orbital parameters, and the kick distribution is taken to be a Maxwellian with a 1D rms of σ = 265kms-1, and isotropic in space. After the kick, there is a 67% chance that the binary is disrupted, and a 3.4% chance that the resulting system is compact and eccentric enough to merge in a Hubble time. Solid lines indicate final orbital parameters for fixed kick velocity v and variable angle θ formed between the kick velocity and the orbital velocity, assuming the kick to be on the orbital plane. Dashed lines indicate the same, except for a fixed θ and a variable v. The blue square at Porb ≃ 27 days and e ≃ 0.07 corresponds to a symmetric SN (i.e. no kick). Bottom: Fraction of systems that would be disrupted or that would merge in less than a Hubble time for an isotropic fixed kick velocity.

This figure is made of several images, please see below:

Current usage metrics show cumulative count of Article Views (full-text article views including HTML views, PDF and ePub downloads, according to the available data) and Abstracts Views on Vision4Press platform.

Data correspond to usage on the plateform after 2015. The current usage metrics is available 48-96 hours after online publication and is updated daily on week days.

Initial download of the metrics may take a while.