Free Access

Fig. 14

image

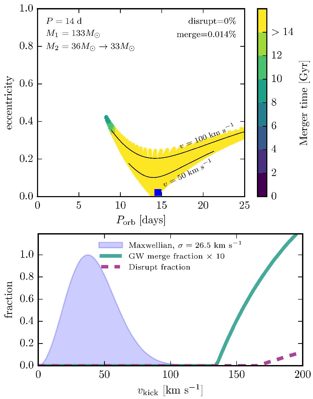
Same as Fig. 13, but for a system where a BH would be expected to form from the secondary. We assume that 10% of the stellar mass is lost during BH formation, and that the BH receives a kick with a 1D rms of σ = 26.5kms-1. Kick velocities up to v = 135 km s-1 are considered in the top panel, which corresponds to 99.999% of the Maxwellian distribution.

This figure is made of several images, please see below:

Current usage metrics show cumulative count of Article Views (full-text article views including HTML views, PDF and ePub downloads, according to the available data) and Abstracts Views on Vision4Press platform.

Data correspond to usage on the plateform after 2015. The current usage metrics is available 48-96 hours after online publication and is updated daily on week days.

Initial download of the metrics may take a while.