Free Access

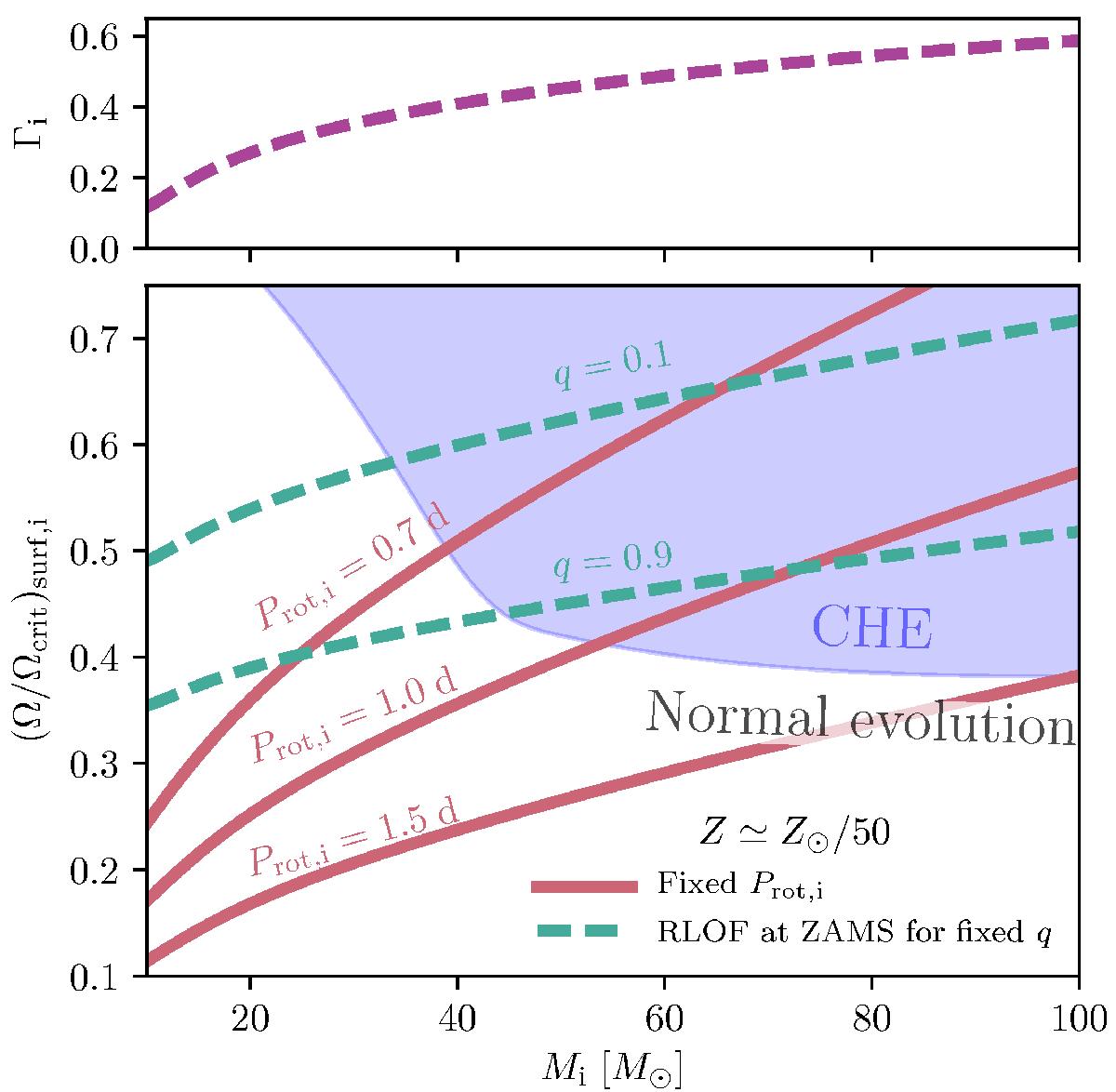
Fig. 2

image

Top: Eddington factor at the ZAMS for non-rotating stars at a metallicity Z = 10-3.5Z/ 50. Bottom: Initial conditions for the occurrence of CHE in single stars at the same metallicity, in terms of mass at the ZAMS and initial ratio of angular frequency Ω to its critical value Ωcrit at the surface. The coloured region indicates stars for which the surface helium abundance at TAMS exceeds 0.8 and is a sharp transition. Solid lines correspond to a fixed initial rotational period, while dashed lines indicate the value of Ω/Ωcrit if the star is the primary of a binary system at a fixed mass ratio q which exactly fills its Roche lobe at the ZAMS (see Eq. (9)).

Current usage metrics show cumulative count of Article Views (full-text article views including HTML views, PDF and ePub downloads, according to the available data) and Abstracts Views on Vision4Press platform.

Data correspond to usage on the plateform after 2015. The current usage metrics is available 48-96 hours after online publication and is updated daily on week days.

Initial download of the metrics may take a while.