Free Access

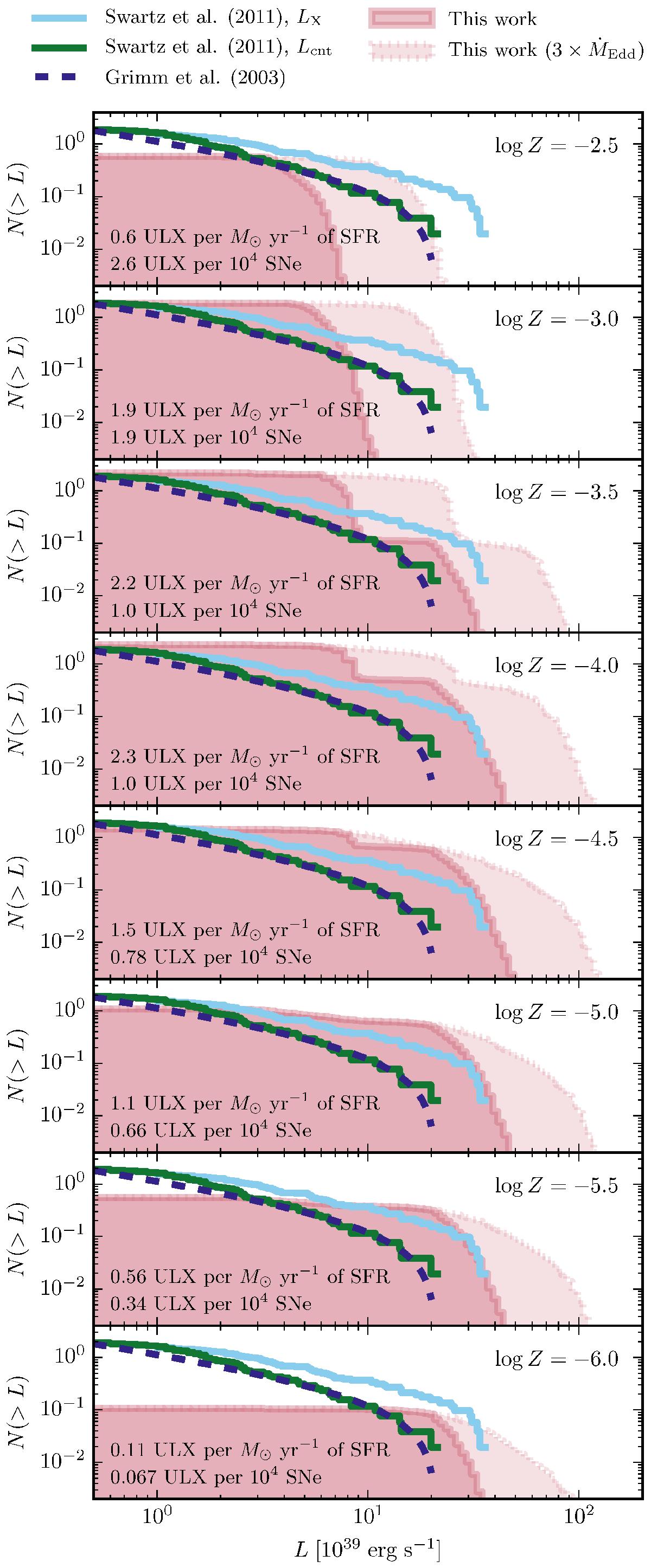
Fig. 9

image

Same as Fig. 8, but for the cumulative distribution function instead. The expected number of observable sources per M yr-1 of SFR is also shown, as well as the expected formation rate of ULXs in terms of the SN rate. Although the number of ULXs produced per SN increases with metallicity, at lower metallicities phases with accretion are longer lived resulting in a peak in observable sources per M yr-1 of SFR at log  Z = −4.

Current usage metrics show cumulative count of Article Views (full-text article views including HTML views, PDF and ePub downloads, according to the available data) and Abstracts Views on Vision4Press platform.

Data correspond to usage on the plateform after 2015. The current usage metrics is available 48-96 hours after online publication and is updated daily on week days.

Initial download of the metrics may take a while.