Free Access

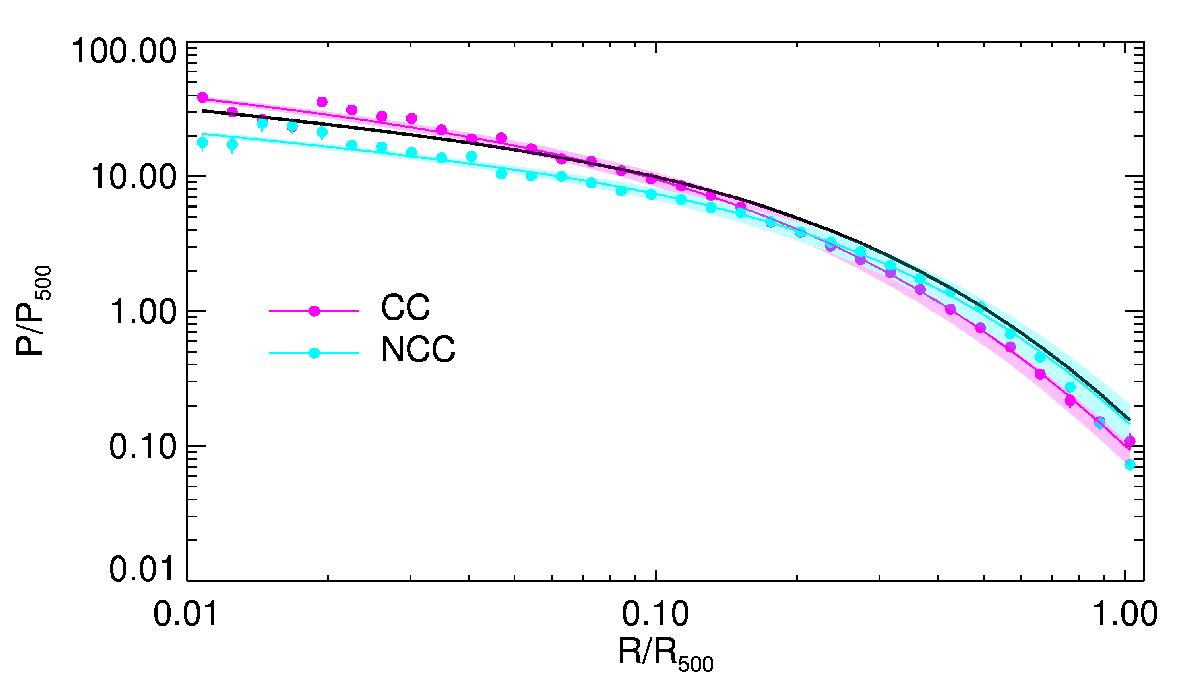
Fig. B.3

image

Pressure profiles for the subsets of CC and NCC. These profiles are very similar to those in Fig. 9, however the NCC profiles within 0.1 R500 are about a factor of 2 higher than the high redshift one.

Current usage metrics show cumulative count of Article Views (full-text article views including HTML views, PDF and ePub downloads, according to the available data) and Abstracts Views on Vision4Press platform.

Data correspond to usage on the plateform after 2015. The current usage metrics is available 48-96 hours after online publication and is updated daily on week days.

Initial download of the metrics may take a while.