Free Access

Fig. 5

image

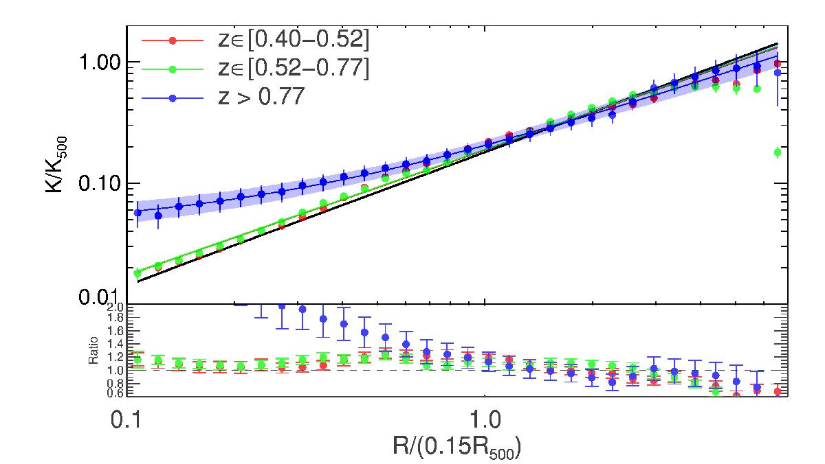
Stacked entropy profiles and fits in the 3 redshift bins. The shaded areas represents the errors on the fit. The colours of the points are representative of the redshift bin considered. The black line represents the non-radiative prediction (Voit et al. 2005).

Current usage metrics show cumulative count of Article Views (full-text article views including HTML views, PDF and ePub downloads, according to the available data) and Abstracts Views on Vision4Press platform.

Data correspond to usage on the plateform after 2015. The current usage metrics is available 48-96 hours after online publication and is updated daily on week days.

Initial download of the metrics may take a while.