Free Access

Fig. 9

image

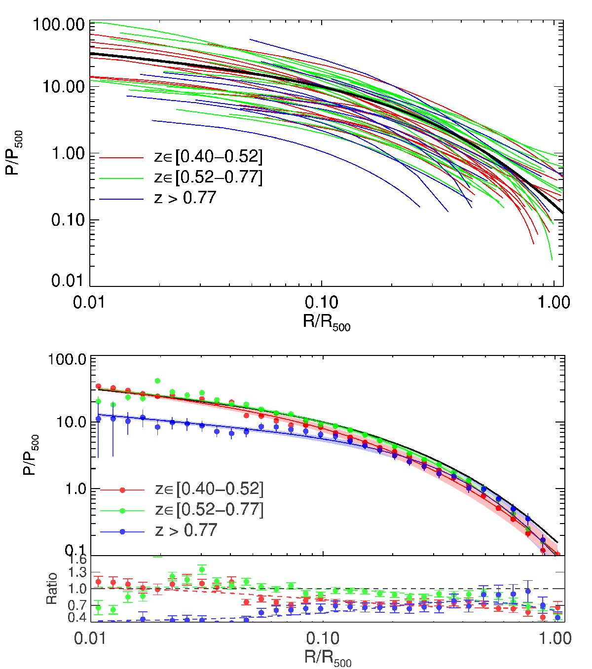
Top: pressure profiles for all our clusters rescaled using an overdensity of 500, colour coded with respect to the redshift bin to which each curve belongs, compared with the best-fit results in Arnaud et al. (2010; black solid line). Bottom: stacked pressure profiles (in logarithmic space) compared with the best fit of Arnaud et al. (2010); the panel at the bottom shows the ratio with respect to the “universal” pressure profile.

This figure is made of several images, please see below:

Current usage metrics show cumulative count of Article Views (full-text article views including HTML views, PDF and ePub downloads, according to the available data) and Abstracts Views on Vision4Press platform.

Data correspond to usage on the plateform after 2015. The current usage metrics is available 48-96 hours after online publication and is updated daily on week days.

Initial download of the metrics may take a while.