Free Access

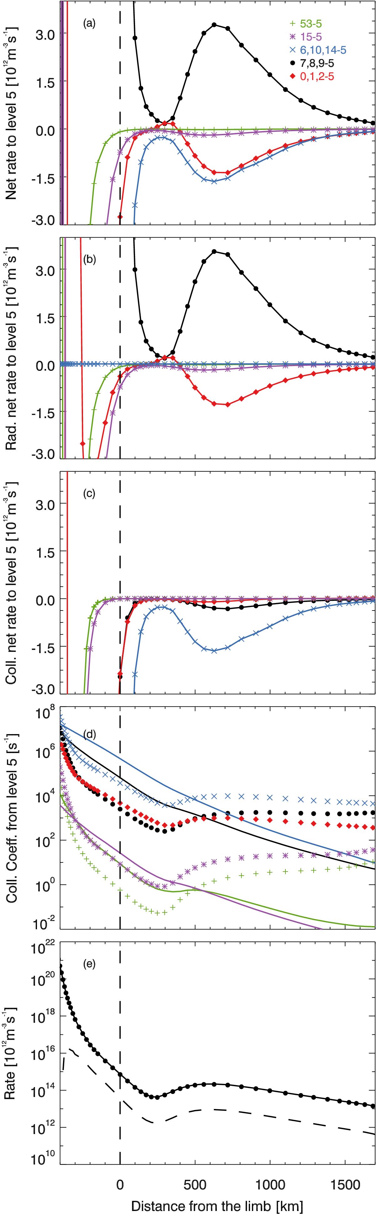
Fig. 11

image

Panel a: net rates; b: radiative net rates; and c: collisional net rates. Panel d: collisional rate per atom in level 5 with hydrogen collisions being represented by connected symbols. Panel e: 7772 Å line’s downward rate in solid, upward rate with symbols and the net rate with the dashed line.

Current usage metrics show cumulative count of Article Views (full-text article views including HTML views, PDF and ePub downloads, according to the available data) and Abstracts Views on Vision4Press platform.

Data correspond to usage on the plateform after 2015. The current usage metrics is available 48-96 hours after online publication and is updated daily on week days.

Initial download of the metrics may take a while.