Free Access

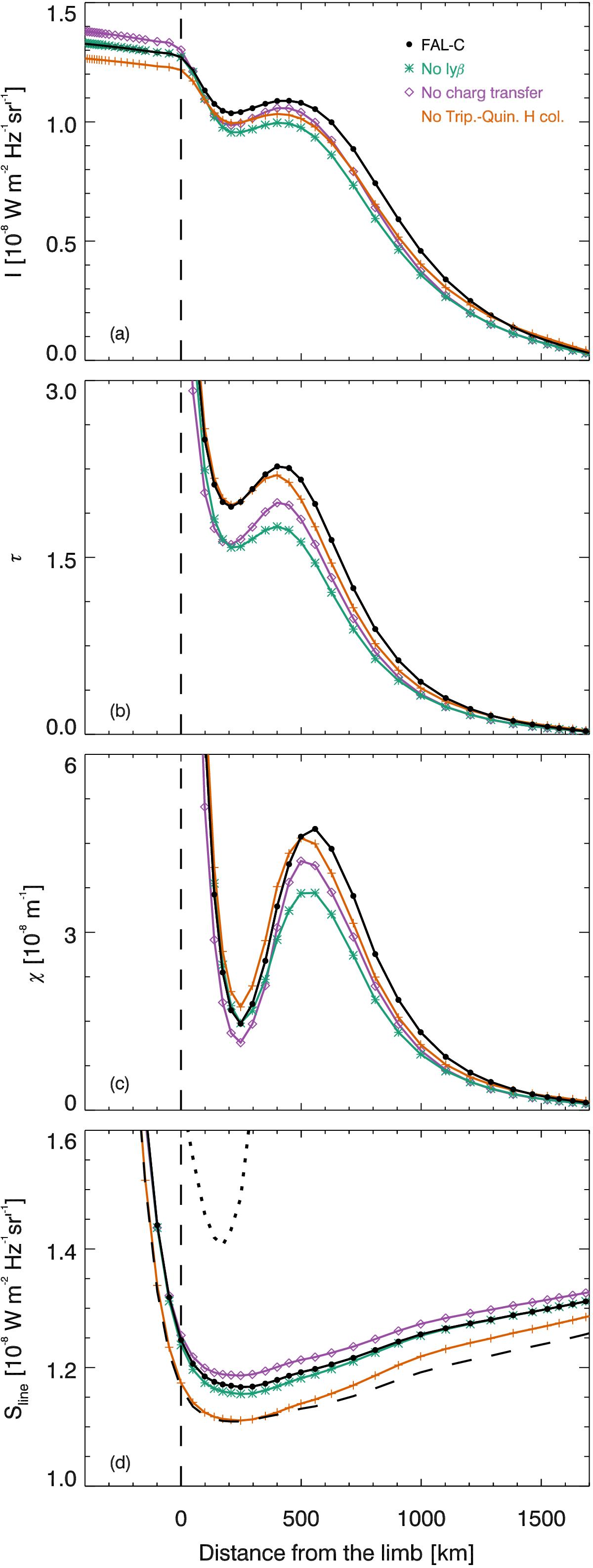
Fig. 9

image

Full model in FAL-C (black lines) compared with results where the atomic processes involving hydrogen have been perturbed. a) Monochromatic intensity at line core, b) tangential τ, c) opacity, and d) monochromatic line source function. The dashed line in panel d) shows the mean intensity for the Full model and the dotted line represents the Planck function.

Current usage metrics show cumulative count of Article Views (full-text article views including HTML views, PDF and ePub downloads, according to the available data) and Abstracts Views on Vision4Press platform.

Data correspond to usage on the plateform after 2015. The current usage metrics is available 48-96 hours after online publication and is updated daily on week days.

Initial download of the metrics may take a while.