Free Access

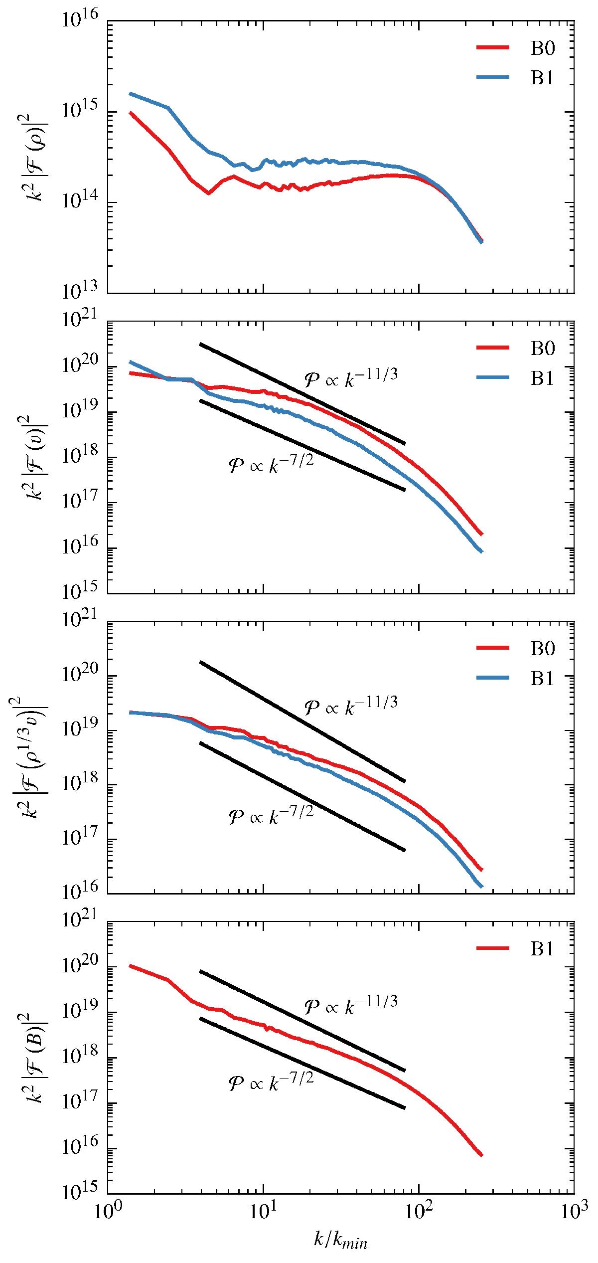
Fig. A.1

image

Runs B0 and B1 (high resolution with standard feedback). Three-dimensional power spectra. From top to bottom: density, velocity, density-weighted velocity, magnetic field. The spectra are multiplied by k2 (such that the Kolmogorov scaling corresponds to a slope of −5/3).

Current usage metrics show cumulative count of Article Views (full-text article views including HTML views, PDF and ePub downloads, according to the available data) and Abstracts Views on Vision4Press platform.

Data correspond to usage on the plateform after 2015. The current usage metrics is available 48-96 hours after online publication and is updated daily on week days.

Initial download of the metrics may take a while.