Free Access

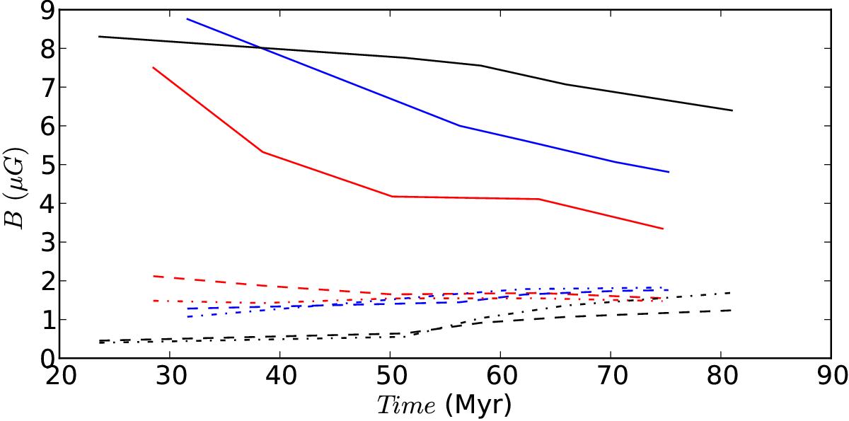
Fig. 3

image

Magnetic field in the equatorial plane as a function of time for the three runs B1L, B2L and B4L. Solid line is the x-component while dotted and dot-dashed are the y and z-components respectively. As can be seen the x-component decreases with time which indicates that the initial magnetic field gets expelled from the galactic plane.

Current usage metrics show cumulative count of Article Views (full-text article views including HTML views, PDF and ePub downloads, according to the available data) and Abstracts Views on Vision4Press platform.

Data correspond to usage on the plateform after 2015. The current usage metrics is available 48-96 hours after online publication and is updated daily on week days.

Initial download of the metrics may take a while.