Free Access

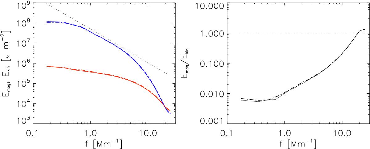
Fig. 5

image

Left panel: spatial power spectra of the kinetic (blue) and magnetic (red) energies in the B20 (solid lines) and R20 (dashed lines) runs at τ5 = 1. The black dotted line is the 5/3 Kolmogorov power law. Right panel: ratio of magnetic to kinetic power spectra for the B20 (solid line) and R20 (dashed line) runs. The dotted line indicates the equipartition level between magnetic and kinetic energies.

Current usage metrics show cumulative count of Article Views (full-text article views including HTML views, PDF and ePub downloads, according to the available data) and Abstracts Views on Vision4Press platform.

Data correspond to usage on the plateform after 2015. The current usage metrics is available 48-96 hours after online publication and is updated daily on week days.

Initial download of the metrics may take a while.