Free Access

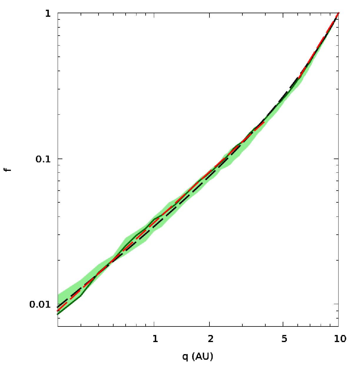
Fig. 9

image

Cumulative distribution of the perihelion distances for the JPLWC sample (gray line), the WC sample (black line), and the simulation sample (green line). The light green area corresponds to the range of results obtained over our ten simulations. The dotted line corresponds to the cumulative distribution for a flat distribution of the perihelion distance.

Current usage metrics show cumulative count of Article Views (full-text article views including HTML views, PDF and ePub downloads, according to the available data) and Abstracts Views on Vision4Press platform.

Data correspond to usage on the plateform after 2015. The current usage metrics is available 48-96 hours after online publication and is updated daily on week days.

Initial download of the metrics may take a while.