Free Access

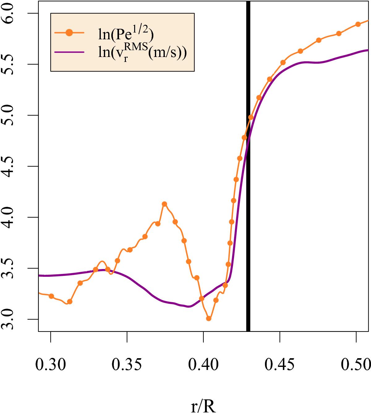
Fig. 10

image

Time-averaged and horizontally volume-averaged rms radial velocity near the bottom of the convection zone in simulation YS4. The time-averaged and horizontally volume-averaged square-root of the Péclet number is shown, scaled and shifted, for comparison. The heavy vertical black line marks the convective boundary.

Current usage metrics show cumulative count of Article Views (full-text article views including HTML views, PDF and ePub downloads, according to the available data) and Abstracts Views on Vision4Press platform.

Data correspond to usage on the plateform after 2015. The current usage metrics is available 48-96 hours after online publication and is updated daily on week days.

Initial download of the metrics may take a while.