Free Access

Fig. 2

image

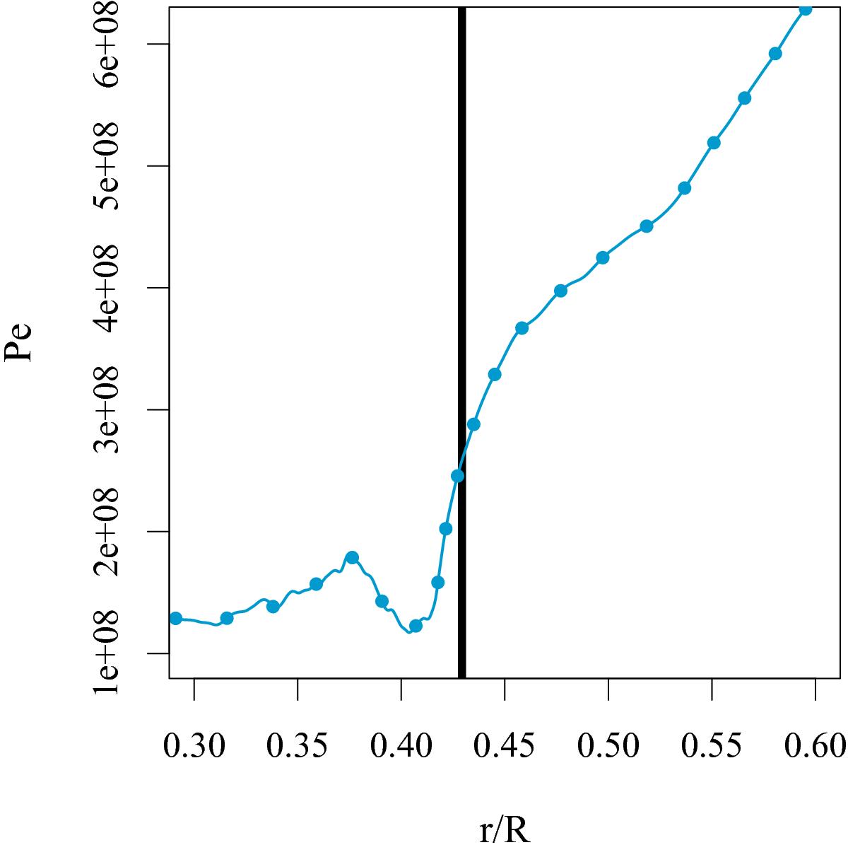
Radial profile of the time-averaged and horizontally-volume-averaged Péclet number, as defined by Eq. (4), from simulation YS4. The contribution to the thermal diffusivity by numerical truncations are not included in this profile. The heavy vertical black line marks the boundary between the stable radiative zone and the convection zone, determined from the radial profile of entropy and the Schwarzschild criterion produced by the one-dimensional stellar model.

Current usage metrics show cumulative count of Article Views (full-text article views including HTML views, PDF and ePub downloads, according to the available data) and Abstracts Views on Vision4Press platform.

Data correspond to usage on the plateform after 2015. The current usage metrics is available 48-96 hours after online publication and is updated daily on week days.

Initial download of the metrics may take a while.