Free Access

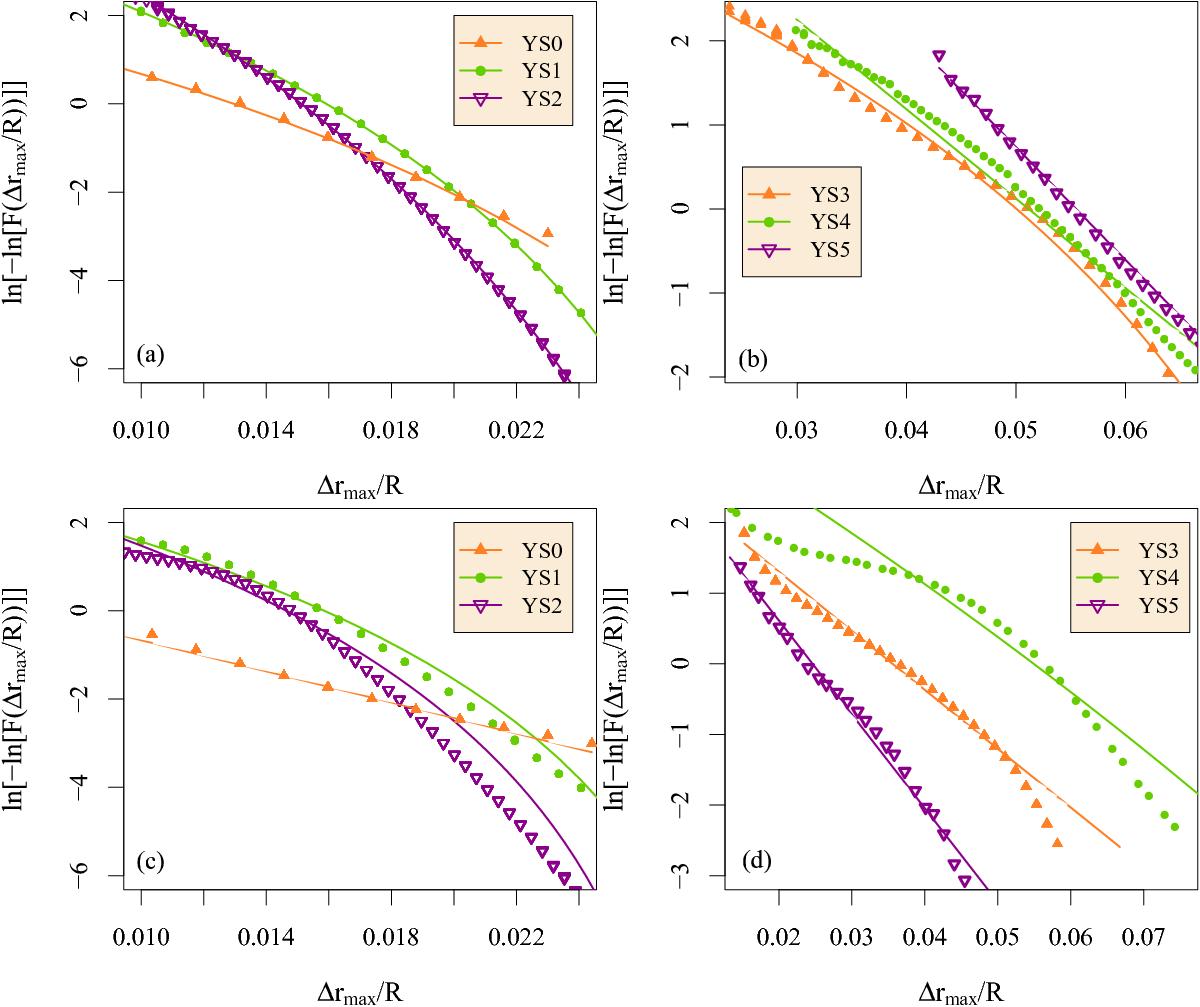
Fig. 8

image

Cumulative distribution function F of the maximal penetration length, Δrmax defined in Eq. (9). a) Maximal penetration length calculated from the vertical kinetic energy flux for the local convection simulations YS0-2. b) Maximal penetration length calculated from the vertical kinetic energy flux for the non-local convection simulations YS3-5. c) Maximal penetration length calculated from the vertical heat flux for the local convection simulations YS0-2. d) Maximal penetration length calculated from the vertical heat flux for the non-local convection simulations YS3-5. Data is shown as point symbols, while a fit to the GEVD form is shown as a line.

This figure is made of several images, please see below:

Current usage metrics show cumulative count of Article Views (full-text article views including HTML views, PDF and ePub downloads, according to the available data) and Abstracts Views on Vision4Press platform.

Data correspond to usage on the plateform after 2015. The current usage metrics is available 48-96 hours after online publication and is updated daily on week days.

Initial download of the metrics may take a while.