Free Access

Fig. A.5

image

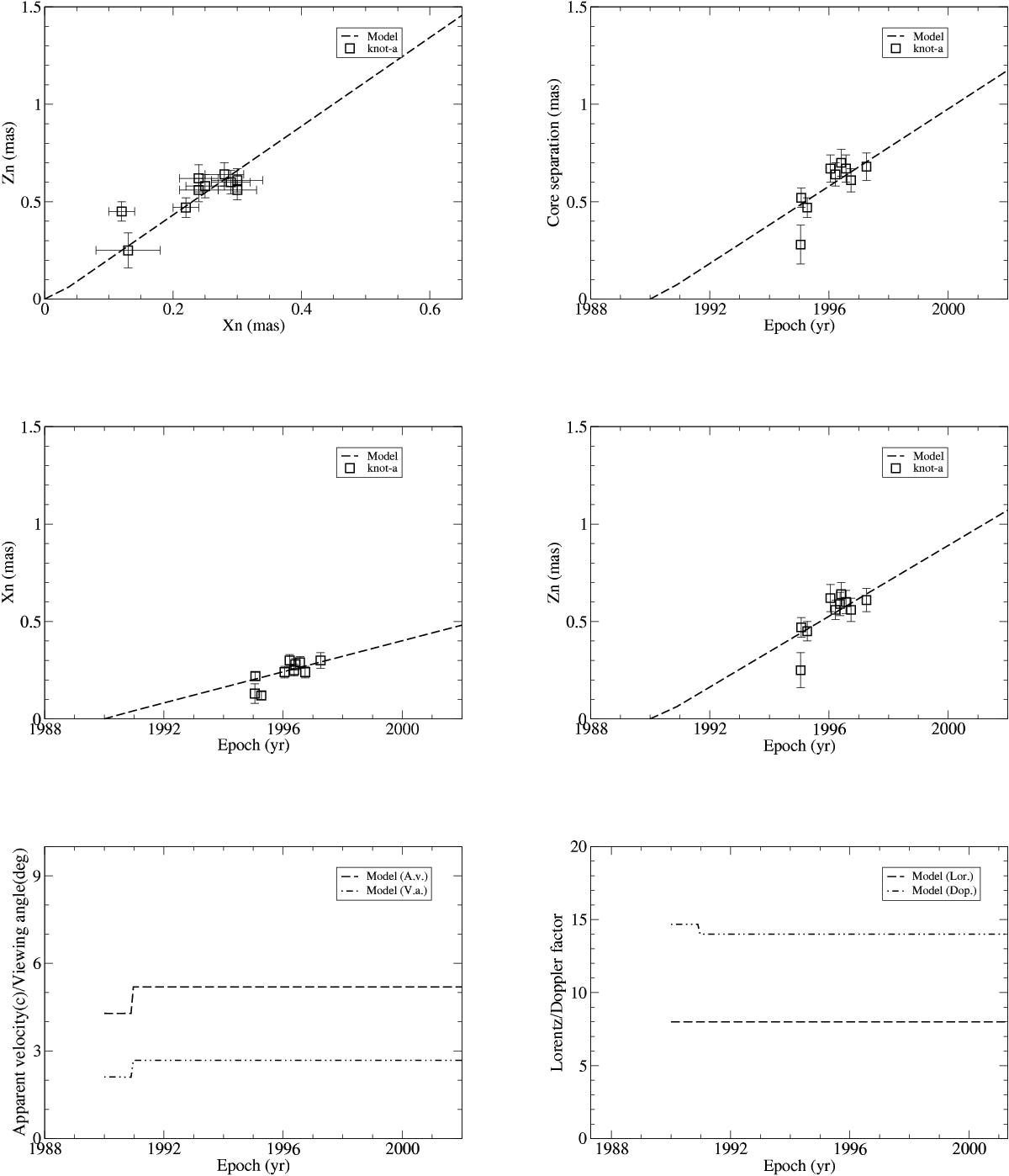
Model fitting of the kinematics for knot a: trajectory Zn-Xn, separation rn(t), coordinates Xn(t) and Zn(t), the modeled apparent velocity/viewing angle and Lorentz/Doppler factor. Its ejection time is assumed to be t0 = 1990.0 (corresponding to a phase φ = 1.77 rad). A curvature in its trajectory at Z = 2.0 mas (corresponding to a core separation rn = 0.074 mas) is introduced.

This figure is made of several images, please see below:

Current usage metrics show cumulative count of Article Views (full-text article views including HTML views, PDF and ePub downloads, according to the available data) and Abstracts Views on Vision4Press platform.

Data correspond to usage on the plateform after 2015. The current usage metrics is available 48-96 hours after online publication and is updated daily on week days.

Initial download of the metrics may take a while.