Free Access

Fig. 2

image

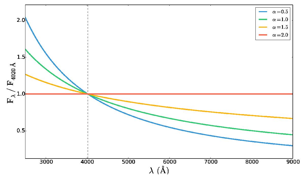
Featureless PL AGN continua parameterised as Fννα normalised at λ0 = 4020 Å (dashed vertical line) as a function of wavelength λ. Blue, green, yellow, and red lines represent PLs with α = 0.5, 1, 1.5, and 2, respectively.

Current usage metrics show cumulative count of Article Views (full-text article views including HTML views, PDF and ePub downloads, according to the available data) and Abstracts Views on Vision4Press platform.

Data correspond to usage on the plateform after 2015. The current usage metrics is available 48-96 hours after online publication and is updated daily on week days.

Initial download of the metrics may take a while.