Free Access

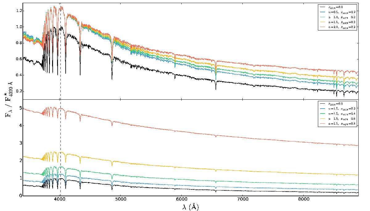
Fig. 3

image

Combination of a CSP SED for an instantaneously formed stellar population of age 100 Myr and solar metallicity with AGN PLs for different values of α and fractional contribution xAGN to the monochromatic flux at λ0 = 4020 Å (black dashed line). Black lines represent purely stellar SEDs and blue, green, yellow, and red lines represent active galaxy SEDs with α = 0.5, 1, 1.5, and 2 for xAGN = 0.4 (top panel) and xAGN = 0.2, 0.4, 0.6, and 0.8 for α = 1.5 (bottom panel), respectively.

Current usage metrics show cumulative count of Article Views (full-text article views including HTML views, PDF and ePub downloads, according to the available data) and Abstracts Views on Vision4Press platform.

Data correspond to usage on the plateform after 2015. The current usage metrics is available 48-96 hours after online publication and is updated daily on week days.

Initial download of the metrics may take a while.