Free Access

Fig. 4

image

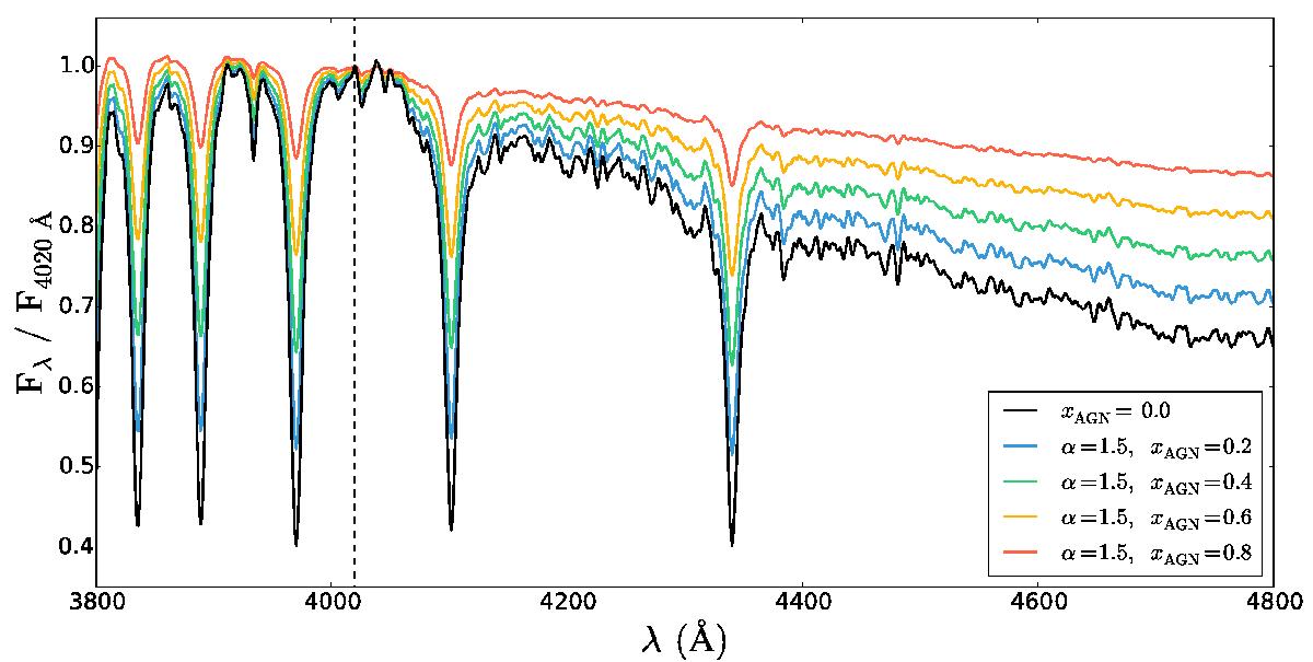
Synthetic SEDs normalised at λ0 (black dashed line) with the contributions of an instantaneously formed solar-metallicity stellar population of age 100 Myr and an AGN PL with fixed α = 1.5. The black line represents the purely stellar continuum and the blue, green, yellow, and red lines represent active galaxy SEDs with xAGN = 0.2, 0.4, 0.6, and 0.8, respectively.

Current usage metrics show cumulative count of Article Views (full-text article views including HTML views, PDF and ePub downloads, according to the available data) and Abstracts Views on Vision4Press platform.

Data correspond to usage on the plateform after 2015. The current usage metrics is available 48-96 hours after online publication and is updated daily on week days.

Initial download of the metrics may take a while.