Press Release
Free Access

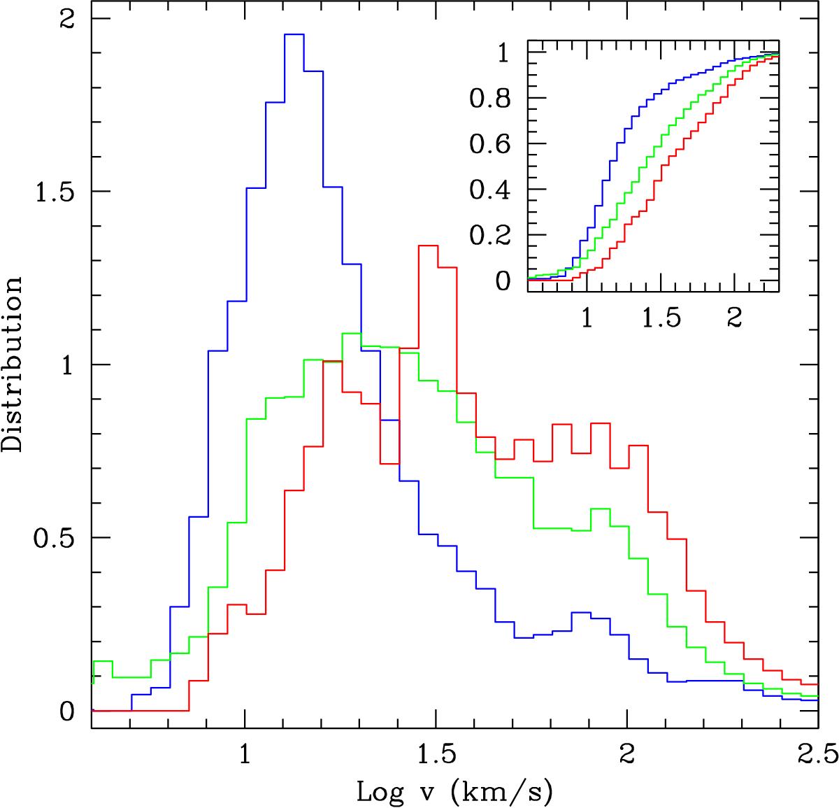
Fig. 7

image

Distribution of the logarithm of the rotational velocity of the stars from the three populations, old (in blue), young (in green), and very young (in red). The inset shows the normalized cumulative fraction. The Kolmogorov-Smirnov test indicates that the distribution of rotational velocity of the old and younger populations is not extracted from the same parental distribution with more than 5σ significance. The same applies when the non-deconvolved rotation velocities are used.

Current usage metrics show cumulative count of Article Views (full-text article views including HTML views, PDF and ePub downloads, according to the available data) and Abstracts Views on Vision4Press platform.

Data correspond to usage on the plateform after 2015. The current usage metrics is available 48-96 hours after online publication and is updated daily on week days.

Initial download of the metrics may take a while.