Free Access

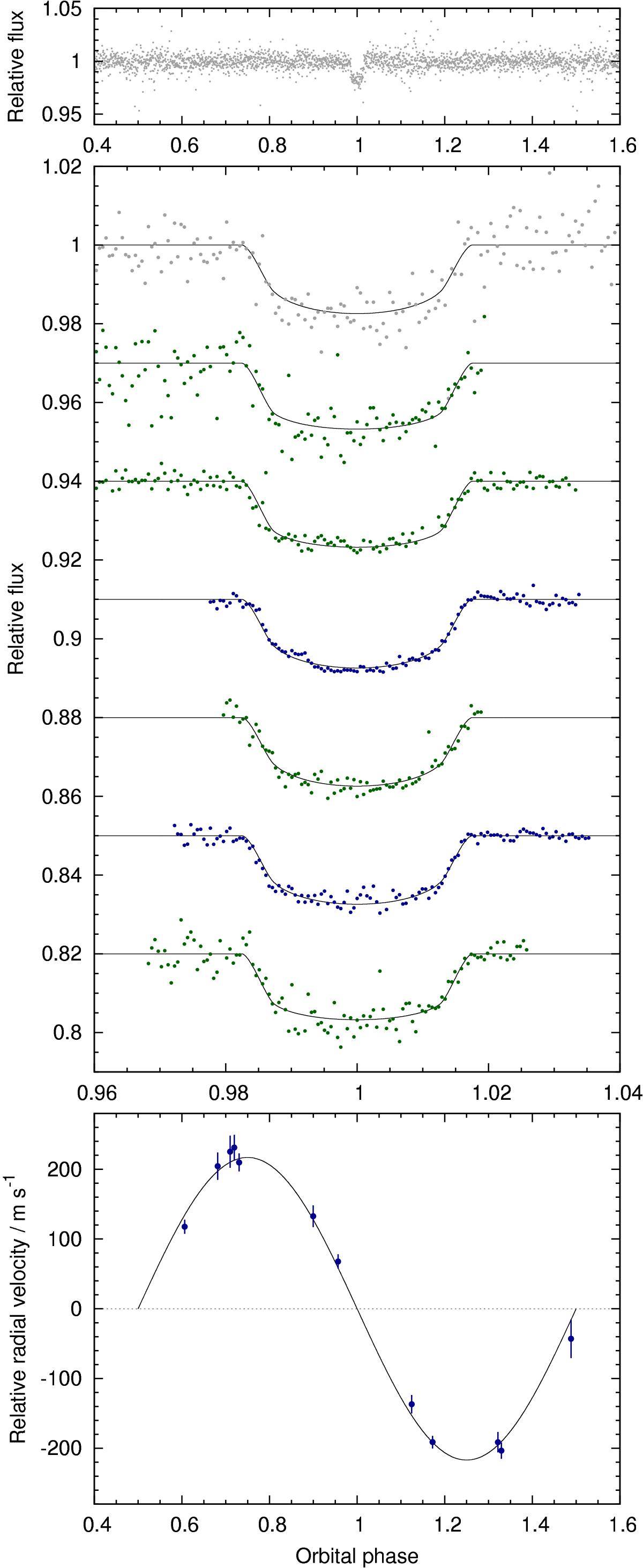
Fig. 1

image

WASP-91b discovery data. Top panel: WASP lightcurve folded on the transit ephemeris. Middle panel: transit lightcurves from WASP (grey), TRAPPIST (green) and EulerCam (blue), offset for clarity, binned with a bin width of two minutes, and plotted chronologically with the most recent at the bottom. The best-fitting transit model is superimposed. Bottom panel: the CORALIE radial velocities with the best-fitting circular orbital model.

Current usage metrics show cumulative count of Article Views (full-text article views including HTML views, PDF and ePub downloads, according to the available data) and Abstracts Views on Vision4Press platform.

Data correspond to usage on the plateform after 2015. The current usage metrics is available 48-96 hours after online publication and is updated daily on week days.

Initial download of the metrics may take a while.