Free Access

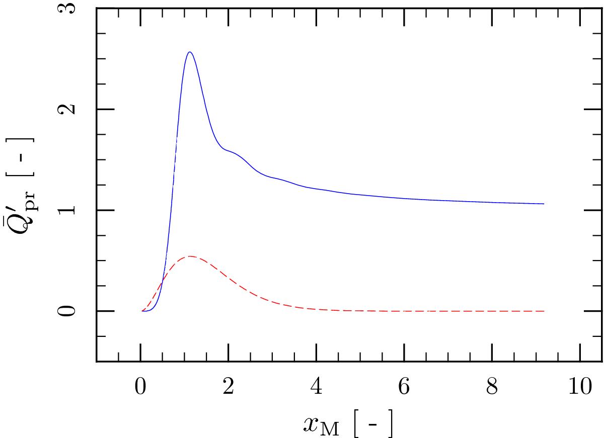
Fig. 2

image

Dimensionless efficiency factor for the radiation pressure () determined for totally reflecting particles (solid line). Spectral distribution of Planck’s blackbody with temperature 5500 K in dependence on xM = 2πR/λ for R = 0.168 μm is shown for comparison (dashed line). The maximal is obtained for the dust particle with R = 0.168 μm.

Current usage metrics show cumulative count of Article Views (full-text article views including HTML views, PDF and ePub downloads, according to the available data) and Abstracts Views on Vision4Press platform.

Data correspond to usage on the plateform after 2015. The current usage metrics is available 48-96 hours after online publication and is updated daily on week days.

Initial download of the metrics may take a while.