Free Access

Fig. 10

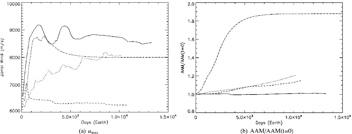
image

Total normalised axial angular momentum (AAM) (kg m s-1) and maximum zonal velocity (umax, m s-1) for several simulations as the left, and right panels, respectively. The solid line shows the Std Full, the dotted line the Std Prim, the dashed line the Deep ΔTeq → pole and the dashed-dotted line the Reduced pmax simulations (see Table 2 for explanation of simulation names). In terms of AAM conservation the Std Full simulation is representative of our simulation set, and the remaining three included simulations (Std Prim, Deep ΔTeq → pole and Reduced pmax) the only examples where AAM conservation is much poorer. Note the total simulation times of the individual runs (i.e. Std Prim, Std Full, Deep ΔTeq → pole and Reduced pmax) are different.

Current usage metrics show cumulative count of Article Views (full-text article views including HTML views, PDF and ePub downloads, according to the available data) and Abstracts Views on Vision4Press platform.

Data correspond to usage on the plateform after 2015. The current usage metrics is available 48-96 hours after online publication and is updated daily on week days.

Initial download of the metrics may take a while.