Free Access

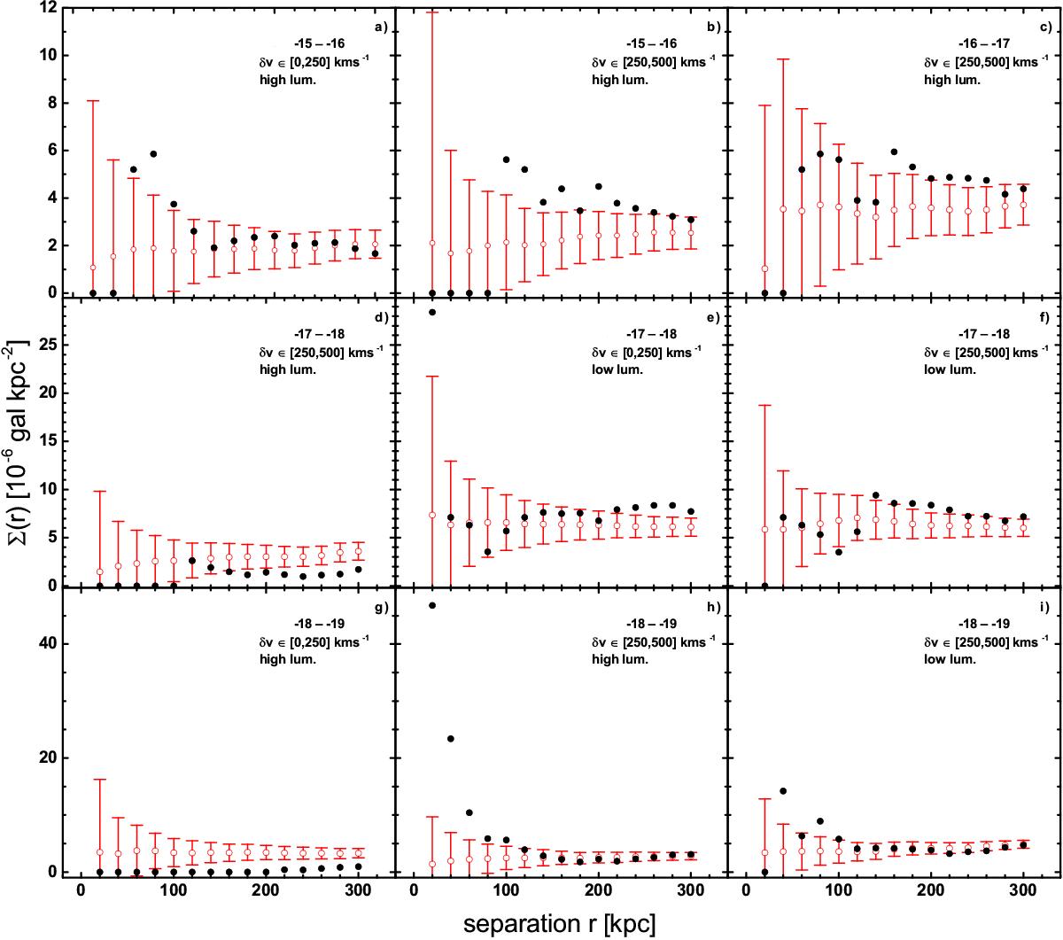
Fig. 7

image

Mean density of different sets of secondaries around high- and low-luminosity primaries depending on separation r. Secondaries are distinguished by luminosity (bin of absolute magnitude) and velocity separation, as indicated in the individual panels. Black dots indicate the values for the MA08 set, the open circles and error bars show the mean and standard deviation of 1000 pseudo-clusters.

Current usage metrics show cumulative count of Article Views (full-text article views including HTML views, PDF and ePub downloads, according to the available data) and Abstracts Views on Vision4Press platform.

Data correspond to usage on the plateform after 2015. The current usage metrics is available 48-96 hours after online publication and is updated daily on week days.

Initial download of the metrics may take a while.