Free Access

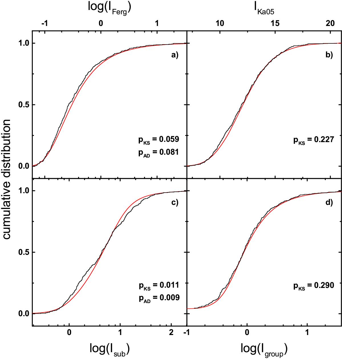
Fig. 8

image

Cumulative distributions for the different interaction parameters discussed in the text. They are indicated along the abscissa. The black curves give the corresponding CDF’s of Coma cluster data from MA08, the red curves show the randomized data for comparison (from galaxy position swapping). The p-values for the statistical tests are indicated in each panel.

Current usage metrics show cumulative count of Article Views (full-text article views including HTML views, PDF and ePub downloads, according to the available data) and Abstracts Views on Vision4Press platform.

Data correspond to usage on the plateform after 2015. The current usage metrics is available 48-96 hours after online publication and is updated daily on week days.

Initial download of the metrics may take a while.