Free Access

Fig. 4

image

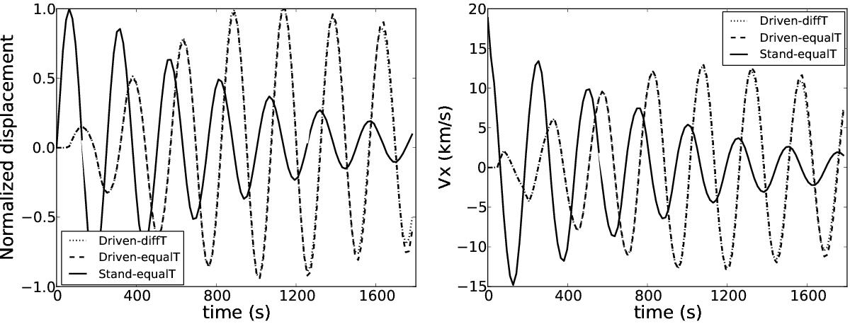
Left: normalized amplitude of the loop displacement, for the three models, calculated by tracking the centre of mass at the apex (z = 100 Mm). Right: through centre of mass tracking at the apex, we calculate the vx velocity in km s-1. The continuous line represents the tube oscillating as a standing wave with Te = Ti (Stand-equalT model), the dashed line represents the tube with the driver for Te = Ti (Driven-equalT model) and the dotted line the tube with the driver for Te = 3 Ti (Driven-diffT model).

This figure is made of several images, please see below:

Current usage metrics show cumulative count of Article Views (full-text article views including HTML views, PDF and ePub downloads, according to the available data) and Abstracts Views on Vision4Press platform.

Data correspond to usage on the plateform after 2015. The current usage metrics is available 48-96 hours after online publication and is updated daily on week days.

Initial download of the metrics may take a while.