Free Access

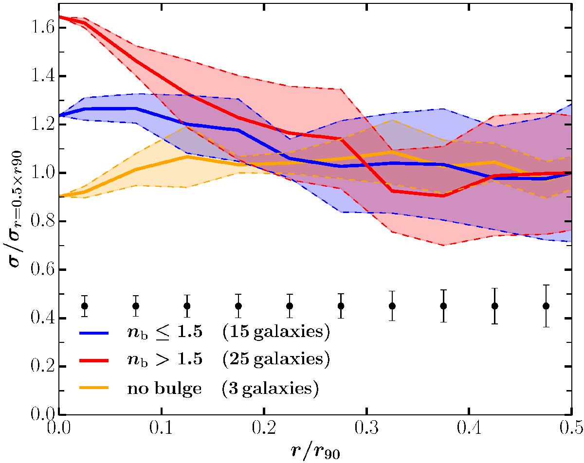
Fig. 11

image

Average radial velocity dispersion profiles for low-nb (blue), high-nb (red) and bulgeless (orange) galaxies. The thick solid lines represent the median profiles and the dashed lines the median absolut deviations. The velocity dispersion is normalised by σ at r = 0.5 × r90 and the radial distance is normalised by r90 – the radius that encloses 90% of the total light of the galaxy. Error bars at the bottom indicate the median uncertainty for each 0.05 × r90 bin.

Current usage metrics show cumulative count of Article Views (full-text article views including HTML views, PDF and ePub downloads, according to the available data) and Abstracts Views on Vision4Press platform.

Data correspond to usage on the plateform after 2015. The current usage metrics is available 48-96 hours after online publication and is updated daily on week days.

Initial download of the metrics may take a while.