Press Release
Free Access

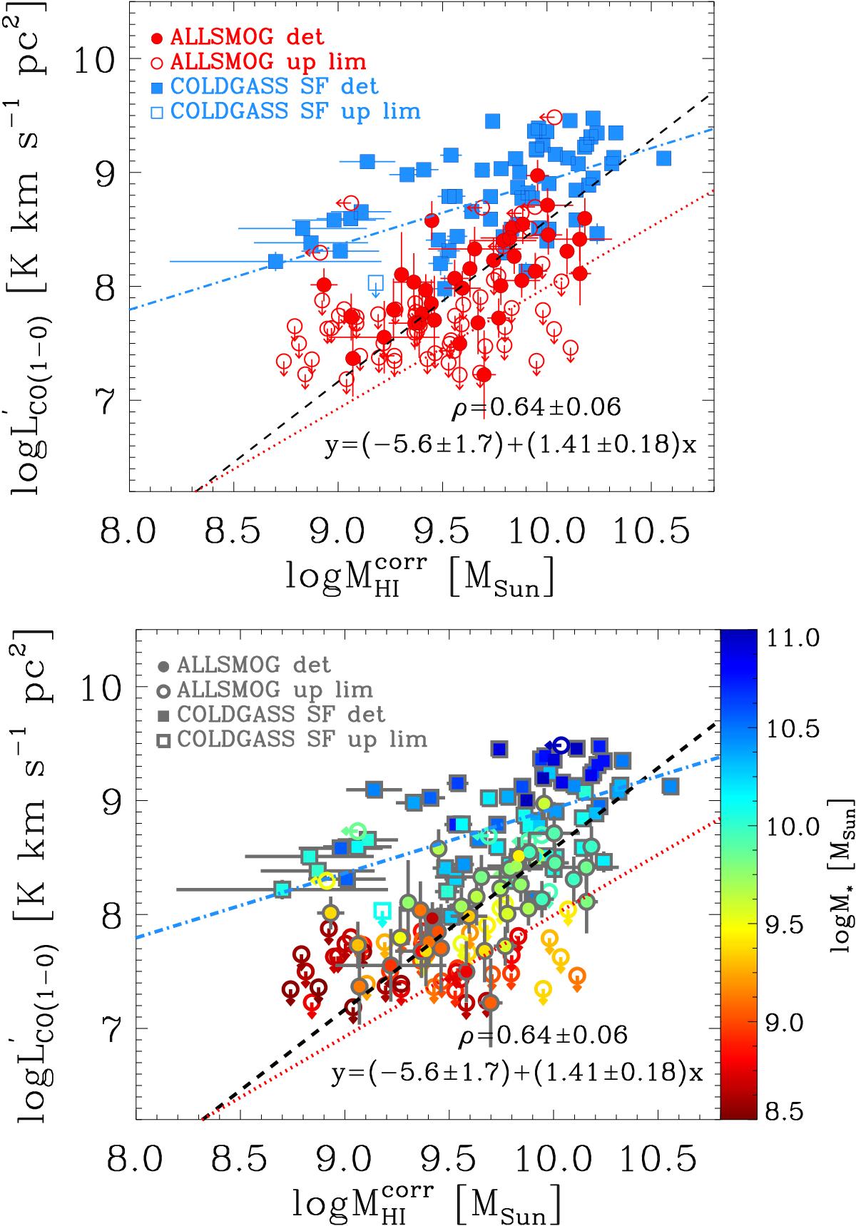
Fig. 11

image

Top panel: CO(1–0) line luminosity as a function of Hi gas mass in log-log scale for the sample of local star-forming galaxies defined by the ALLSMOG survey and by the sub-sample of COLD GASS selected in Sect. 5. For ALLSMOG galaxies, Hi gas masses or 3σ upper limits (indicated by leftwards arrows) were estimated using publicly available Hi 21 cm observations as explained in Sect. 4.2. For the COLD GASS sample, we used the MHI values listed in the COLD GASS DR3 catalogue, which however does not provide upper limits for non-detections in Hi (23 out of the 88 galaxies considered in this work), so the COLD GASS sources not detected in Hi are not shown in the plot. Further explanation relevant to the quantity plotted on the y-axis, the symbols and the regression analysis can be found in the caption of Fig. 8 and in the text (Sect. 7). The Bayesian analysis was performed by including only the sources with an Hi line detection. Bottom panel: same plot shown in the top panel, but with symbols colour-coded according to their stellar mass.

This figure is made of several images, please see below:

Current usage metrics show cumulative count of Article Views (full-text article views including HTML views, PDF and ePub downloads, according to the available data) and Abstracts Views on Vision4Press platform.

Data correspond to usage on the plateform after 2015. The current usage metrics is available 48-96 hours after online publication and is updated daily on week days.

Initial download of the metrics may take a while.