Press Release
Free Access

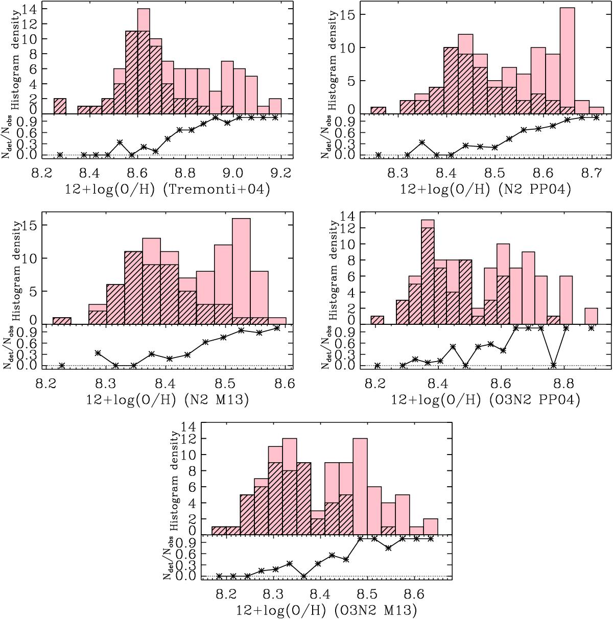
Fig. 6

image

Distribution of ALLSMOG galaxies as a function of the gas-phase metallicity computed using five different strong-line calibrations (details in Sect. 4.1.2). As in Figs. 4 and 5, the full sample is represented by the coloured histogram, and the hatched histogram traces the non-detections. The detection fraction per bin is shown at the bottom of the histograms.

This figure is made of several images, please see below:

Current usage metrics show cumulative count of Article Views (full-text article views including HTML views, PDF and ePub downloads, according to the available data) and Abstracts Views on Vision4Press platform.

Data correspond to usage on the plateform after 2015. The current usage metrics is available 48-96 hours after online publication and is updated daily on week days.

Initial download of the metrics may take a while.