Free Access

Fig. 2

image

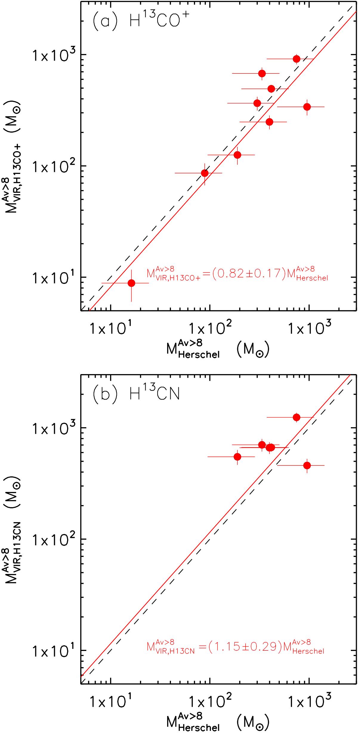
a) vs. and b) vs. relations. The black dashed lines indicate = and the red lines indicate the best-fit results: and . (The uncertainty in was derived from the uncertainties in and in (see Ikeda et al. 2007; Shimajiri et al. 2015a.) The x- and y-axis ranges are the same in both panels.

This figure is made of several images, please see below:

Current usage metrics show cumulative count of Article Views (full-text article views including HTML views, PDF and ePub downloads, according to the available data) and Abstracts Views on Vision4Press platform.

Data correspond to usage on the plateform after 2015. The current usage metrics is available 48-96 hours after online publication and is updated daily on week days.

Initial download of the metrics may take a while.