Free Access

Fig. 2

image

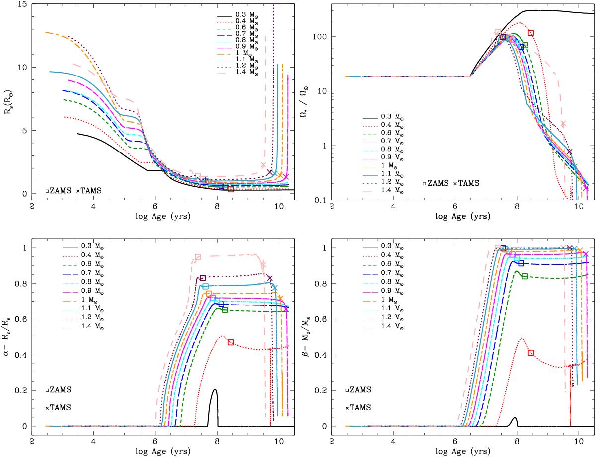
Top left: evolution of the stellar radius R of stars from 0.3 to 1.4 M as a function of time. Top right: surface angular velocity evolution (scaled to the present Sun angular velocity Ω = 2.87 × 10-6 s-1) for the different stellar masses. Bottom left: evolution of the radius aspect ratio α = Rc/R of stars from 0.3 to 1.4 M as a function of time. Bottom right: evolution of the mass aspect ratio β = Mc/M of stars from 0.3 and 1.4 M as a function of time. Legend: the first step in each model (triangle), the ZAMS (square), and the TAMS (cross). Table 1 summarizes at which evolutionary step the models in this work stop.

This figure is made of several images, please see below:

Current usage metrics show cumulative count of Article Views (full-text article views including HTML views, PDF and ePub downloads, according to the available data) and Abstracts Views on Vision4Press platform.

Data correspond to usage on the plateform after 2015. The current usage metrics is available 48-96 hours after online publication and is updated daily on week days.

Initial download of the metrics may take a while.