Free Access

Fig. 14

image

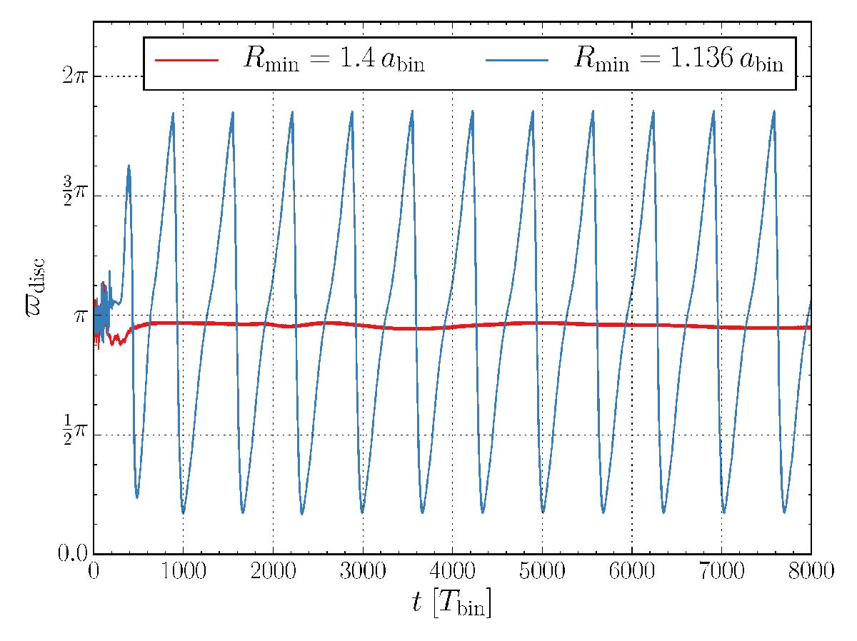
Disc longitude of periastron for different inner radii of the computational domain. The red line shows results from a simulation with the Miranda et al. (2017) setup where no precession of the disc is observable. The blue line shows results from the same physical setup but with a smaller inner disc radius. In this case a clear precession of the inner disc is visible.

Current usage metrics show cumulative count of Article Views (full-text article views including HTML views, PDF and ePub downloads, according to the available data) and Abstracts Views on Vision4Press platform.

Data correspond to usage on the plateform after 2015. The current usage metrics is available 48-96 hours after online publication and is updated daily on week days.

Initial download of the metrics may take a while.