Free Access

Fig. 17

image

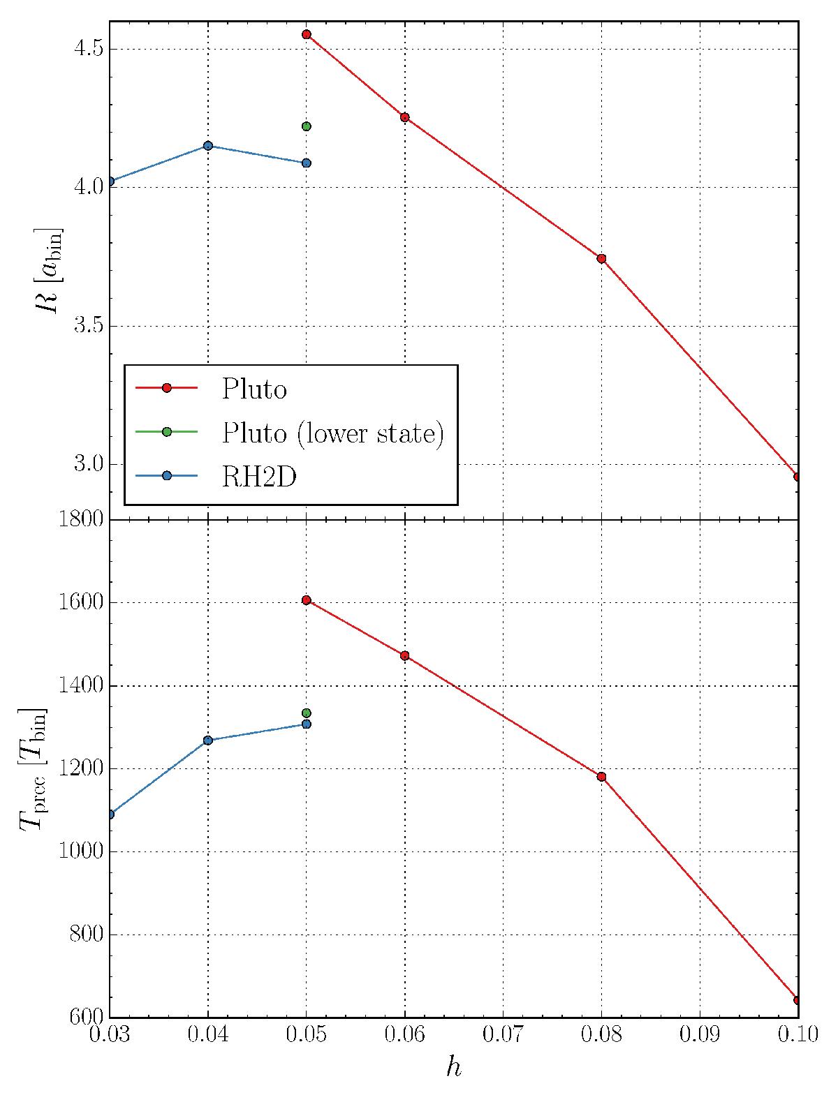
Influence of different disc aspect ratios on gap size and precession rate. Top: radius where the density drops to 50 percent of its maximum value averaged over several thousand binary orbits. Since results from two different codes are shown, we omit the two other measurements for the gap size presented in previous sections. Bottom: precession period of the disc gap. For ebin ≈ 0.16 we observed that Pluto simulations can switch between two states, an upper state (red) and a lower state (green). For RH2D simulations we only observed the lower state (blue). This is discussed in more detail in Appendix A.

Current usage metrics show cumulative count of Article Views (full-text article views including HTML views, PDF and ePub downloads, according to the available data) and Abstracts Views on Vision4Press platform.

Data correspond to usage on the plateform after 2015. The current usage metrics is available 48-96 hours after online publication and is updated daily on week days.

Initial download of the metrics may take a while.