Free Access

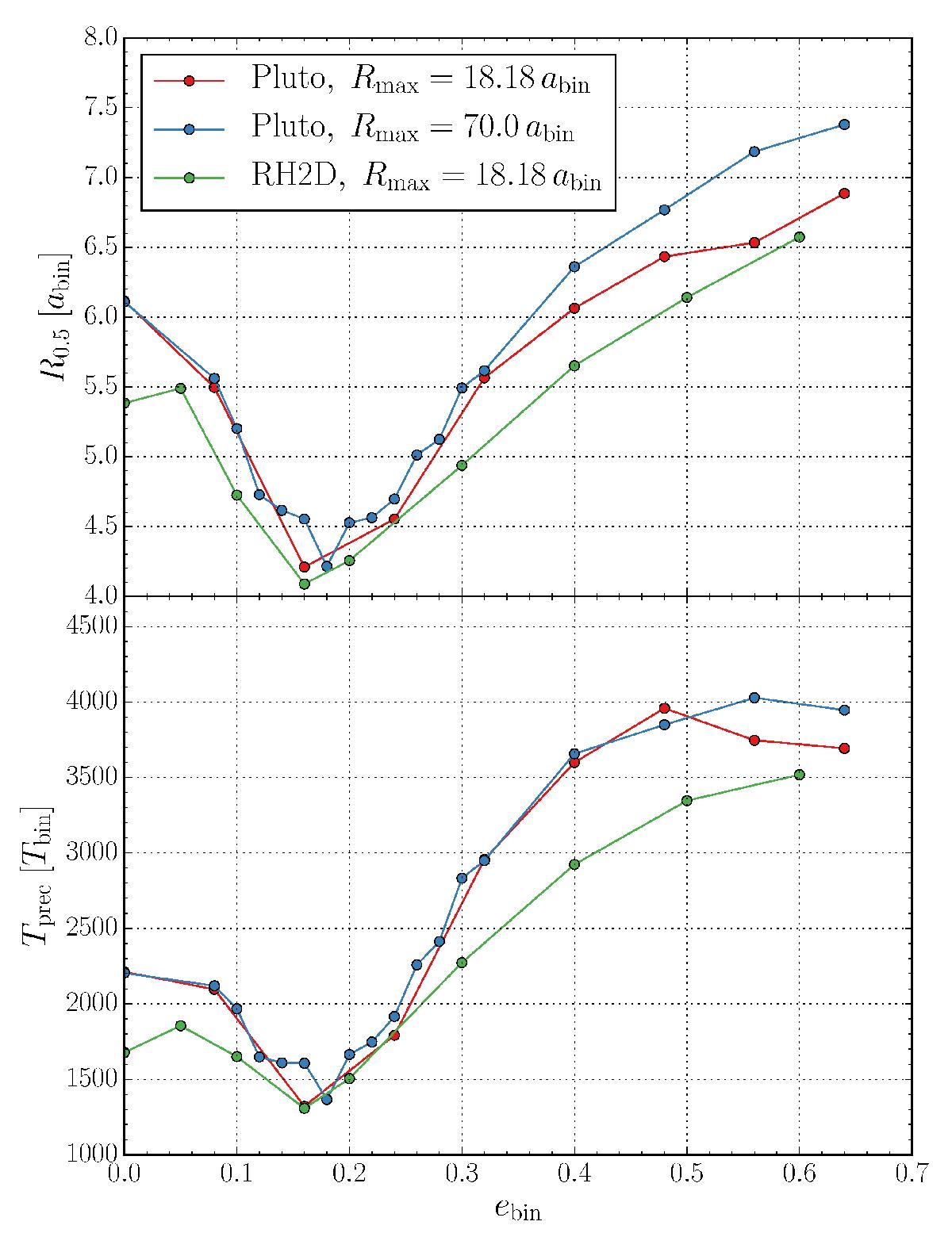
Fig. A.4

image

Influence of different outer radii on gap size and precession rate while varying the binary eccentricity. Top: radius where the azimuthally averaged surface density drops to 50 percent of its maximum value. Bottom: precession period of the disc gap.

Current usage metrics show cumulative count of Article Views (full-text article views including HTML views, PDF and ePub downloads, according to the available data) and Abstracts Views on Vision4Press platform.

Data correspond to usage on the plateform after 2015. The current usage metrics is available 48-96 hours after online publication and is updated daily on week days.

Initial download of the metrics may take a while.