Free Access

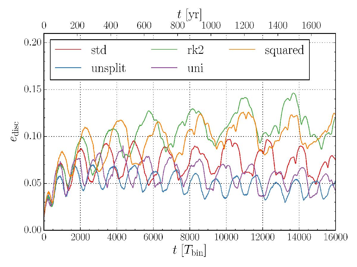
Fig. 3

image

Time evolution of the total disc eccentricity for simulations of the standard model with closed inner boundary and Rmin = 0.345 au. Different numerical parameters such as grid spacing, time integrator, and operator splitting have been used. The legend refers to: std standard integrator (operator and directional splitting), unsplit no directional splitting, Rk2 second-order RK time integrator, uni uniform grid, squared squared grid cells. All simulations were performed with Rh2d.

Current usage metrics show cumulative count of Article Views (full-text article views including HTML views, PDF and ePub downloads, according to the available data) and Abstracts Views on Vision4Press platform.

Data correspond to usage on the plateform after 2015. The current usage metrics is available 48-96 hours after online publication and is updated daily on week days.

Initial download of the metrics may take a while.