Free Access

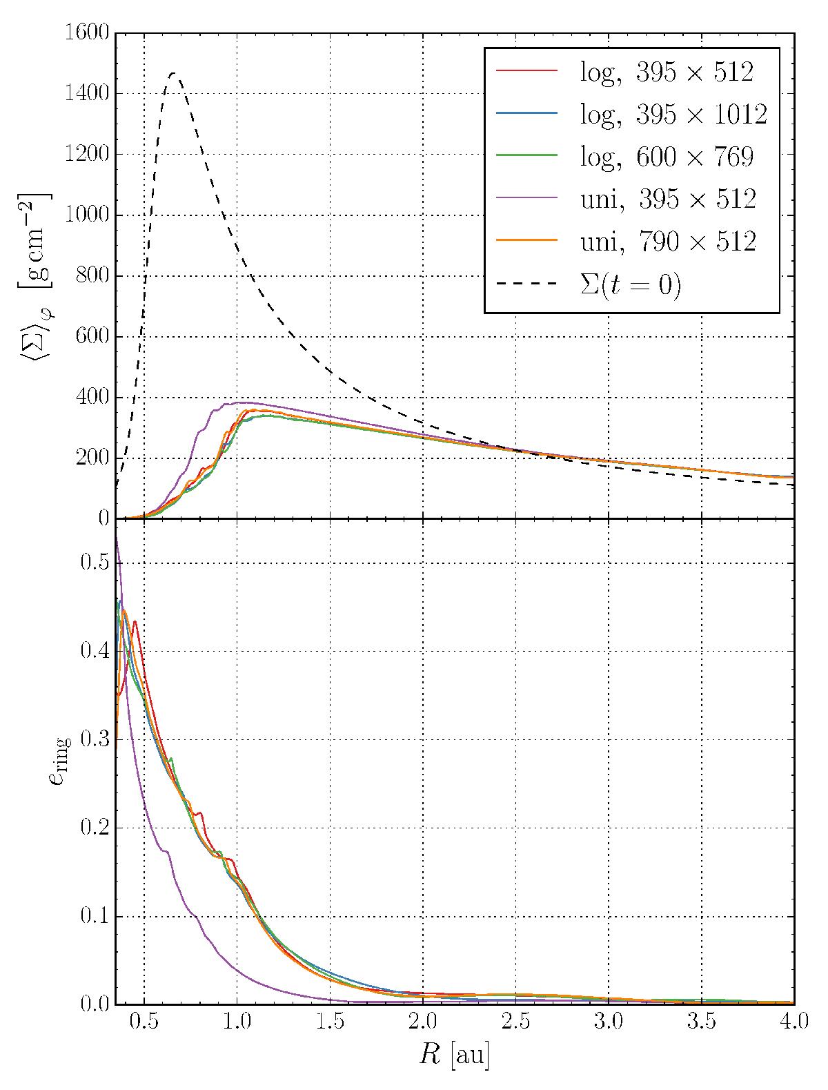
Fig. 4

image

Azimuthally averaged surface density profiles (top) and radial disc eccentricity (bottom) for our reference setup (Rmin = 0.345 au) with a zero-gradient outflow inner boundary condition after 16 000 binary orbits. Coloured solid lines show results from simulations with different resolutions or different grid-spacing in the R-direction (logarithmic and uniform spacing). The initial density profile is also shown as a dashed black line. All simulations were performed with Pluto.

Current usage metrics show cumulative count of Article Views (full-text article views including HTML views, PDF and ePub downloads, according to the available data) and Abstracts Views on Vision4Press platform.

Data correspond to usage on the plateform after 2015. The current usage metrics is available 48-96 hours after online publication and is updated daily on week days.

Initial download of the metrics may take a while.