Free Access

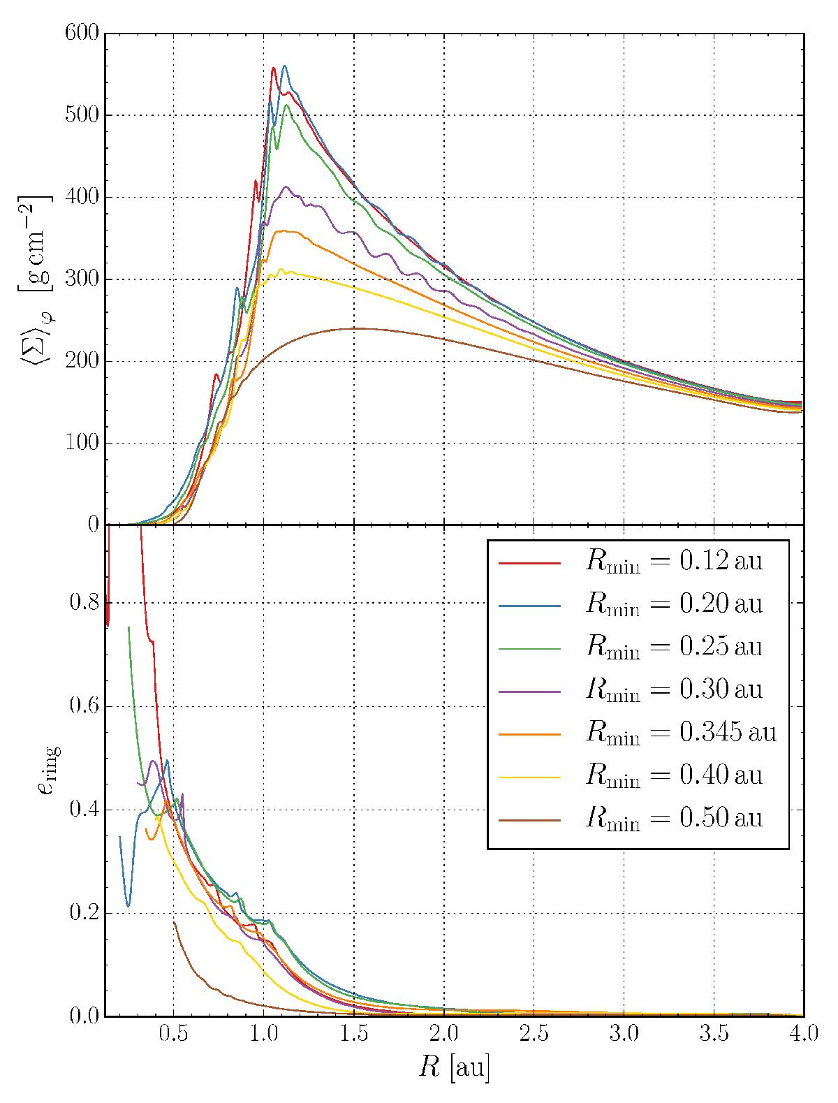
Fig. 5

image

Influence of different inner radii on the disc structure for simulations with a zero-gradient outflow inner boundary condition. Top: azimuthally averaged surface density profiles after 16 000 binary orbits. Bottom: radial disc eccentricity distribution at the same time.

Current usage metrics show cumulative count of Article Views (full-text article views including HTML views, PDF and ePub downloads, according to the available data) and Abstracts Views on Vision4Press platform.

Data correspond to usage on the plateform after 2015. The current usage metrics is available 48-96 hours after online publication and is updated daily on week days.

Initial download of the metrics may take a while.