Free Access

Fig. 10

image

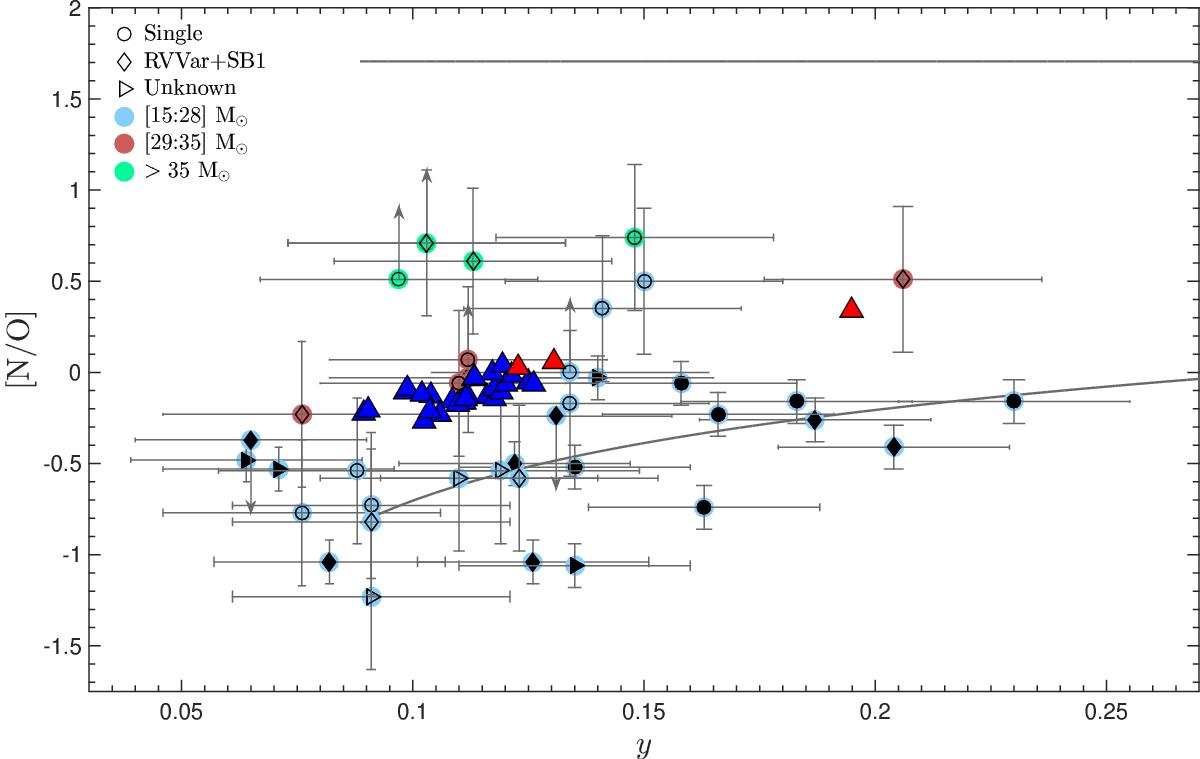
[N/O] abundance ratio as a function of y for our sample stars and comparison with predicted values for mass gainers after a mass transfer, assuming that the mass donor has already exploded (triangles; Wellstein & Langer 1999; Wellstein et al. 2001). Our data are colour-coded as a function of the stellar mass defined by the Bonn models. Black empty and filled symbols represent the hotter stars studied with CMFGEN and the cooler stars studied with DETAIL/SURFACE, respectively. The mass gainers with initial masses of 8–25 M which grow to 17–40 M are shown in dark blue, while the mass gainers with initial masses of 22–24 M which grow to ~40 M are shown in red (a slow semi-convection mixing, αsc = 0.01, and 0.04, has been considered for the two leftmost red triangles, while a fast semi-convection mixing Schwarzschild criterion, αsc = ∞, has been considered for the rightmost one). The upper grey line shows the CNO equilibrium, while the lower grey line assumes that the extra helium at the surface contains the CNO-equilibrium distribution.

Current usage metrics show cumulative count of Article Views (full-text article views including HTML views, PDF and ePub downloads, according to the available data) and Abstracts Views on Vision4Press platform.

Data correspond to usage on the plateform after 2015. The current usage metrics is available 48-96 hours after online publication and is updated daily on week days.

Initial download of the metrics may take a while.