Free Access

Fig. 3

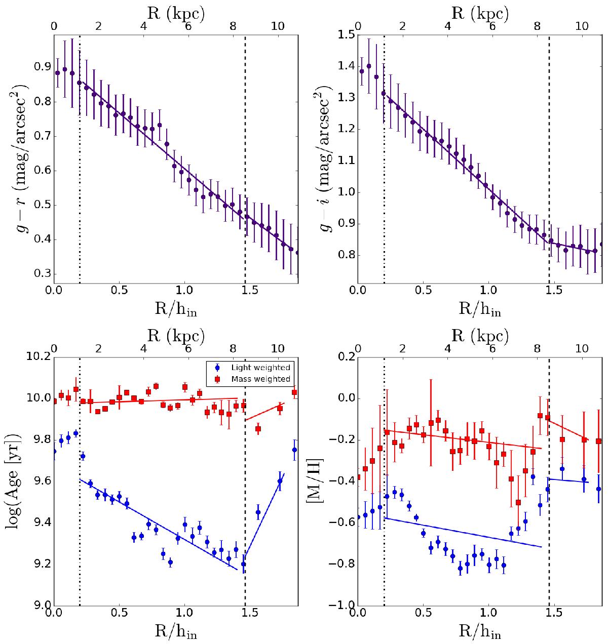
image

gr and gi colour (top panels) and stellar age and metallicity (bottom panels) profiles for IC 1199 as an example. The colour profiles are represented by means of purple circles (top panels). Blue circles represent light-weighted stellar age or metallicity; red squares symbolise mass-weighted stellar age or metallicity (bottom panels). The dot-dashed vertical line delimits the bulge-dominated region (Rlim,in), while the dashed vertical is located at the break radius (Rbreak).

Current usage metrics show cumulative count of Article Views (full-text article views including HTML views, PDF and ePub downloads, according to the available data) and Abstracts Views on Vision4Press platform.

Data correspond to usage on the plateform after 2015. The current usage metrics is available 48-96 hours after online publication and is updated daily on week days.

Initial download of the metrics may take a while.