Free Access

Fig. 5

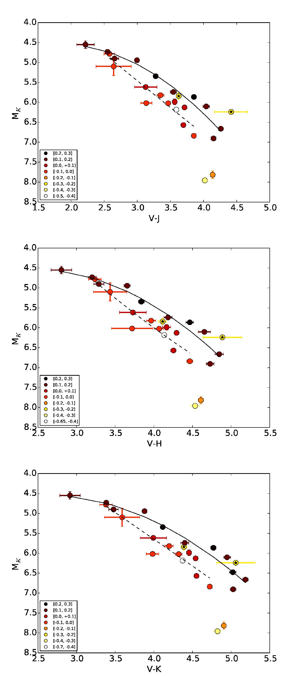
image

Distribution of each targets position in color-magnitude diagrams using the three different infrared magnitudes from 2MASS. Targets include stars both from this paper and from L16. The symbol colors show our metallicities determined from high-resolution infrared spectroscopy.

This figure is made of several images, please see below:

Current usage metrics show cumulative count of Article Views (full-text article views including HTML views, PDF and ePub downloads, according to the available data) and Abstracts Views on Vision4Press platform.

Data correspond to usage on the plateform after 2015. The current usage metrics is available 48-96 hours after online publication and is updated daily on week days.

Initial download of the metrics may take a while.