Free Access

Fig. 3

image

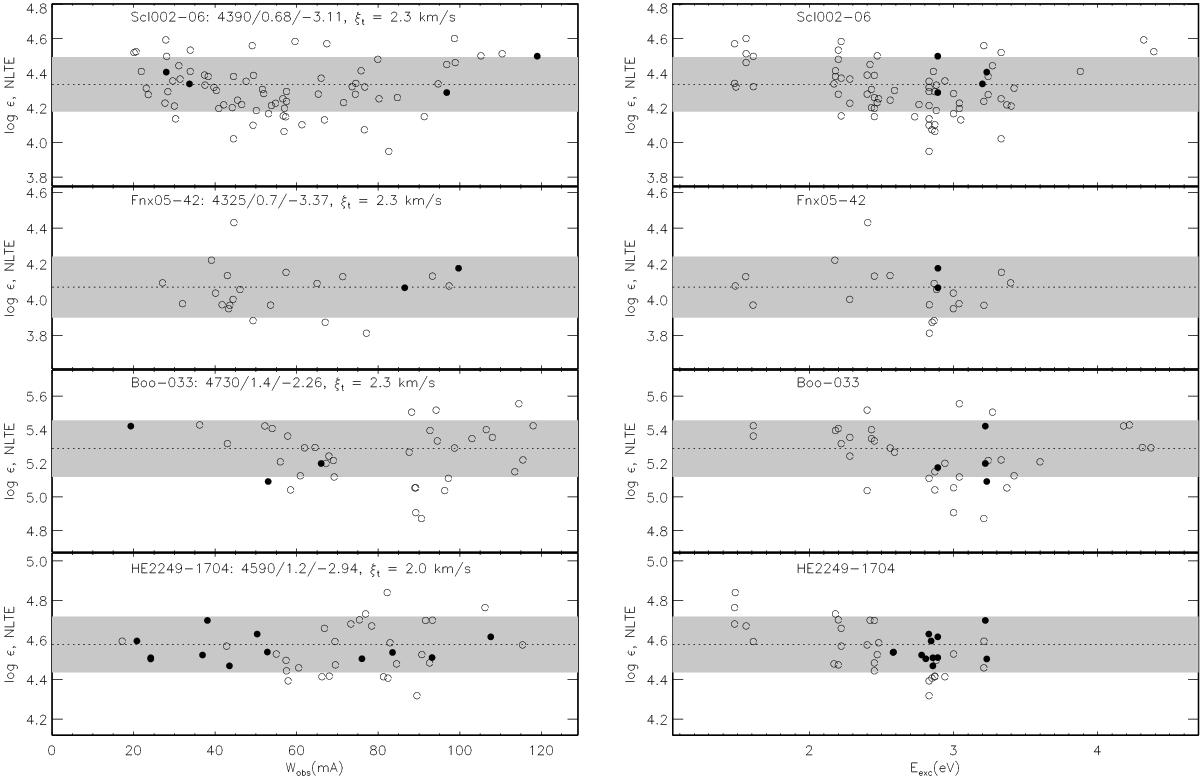
NLTE(SH = 0.5) abundances derived from the Fe i (open circles) and Fe ii (filled circles) lines in the selected stars as a function of Wobs (left column) and Eexc (right column). In each panel, the dotted line shows the mean iron abundance determined from the Fe i lines and the shaded grey area indicates the scatter around the mean value, as determined by the sample standard deviation.

This figure is made of several images, please see below:

Current usage metrics show cumulative count of Article Views (full-text article views including HTML views, PDF and ePub downloads, according to the available data) and Abstracts Views on Vision4Press platform.

Data correspond to usage on the plateform after 2015. The current usage metrics is available 48-96 hours after online publication and is updated daily on week days.

Initial download of the metrics may take a while.