Free Access

Fig. 2

image

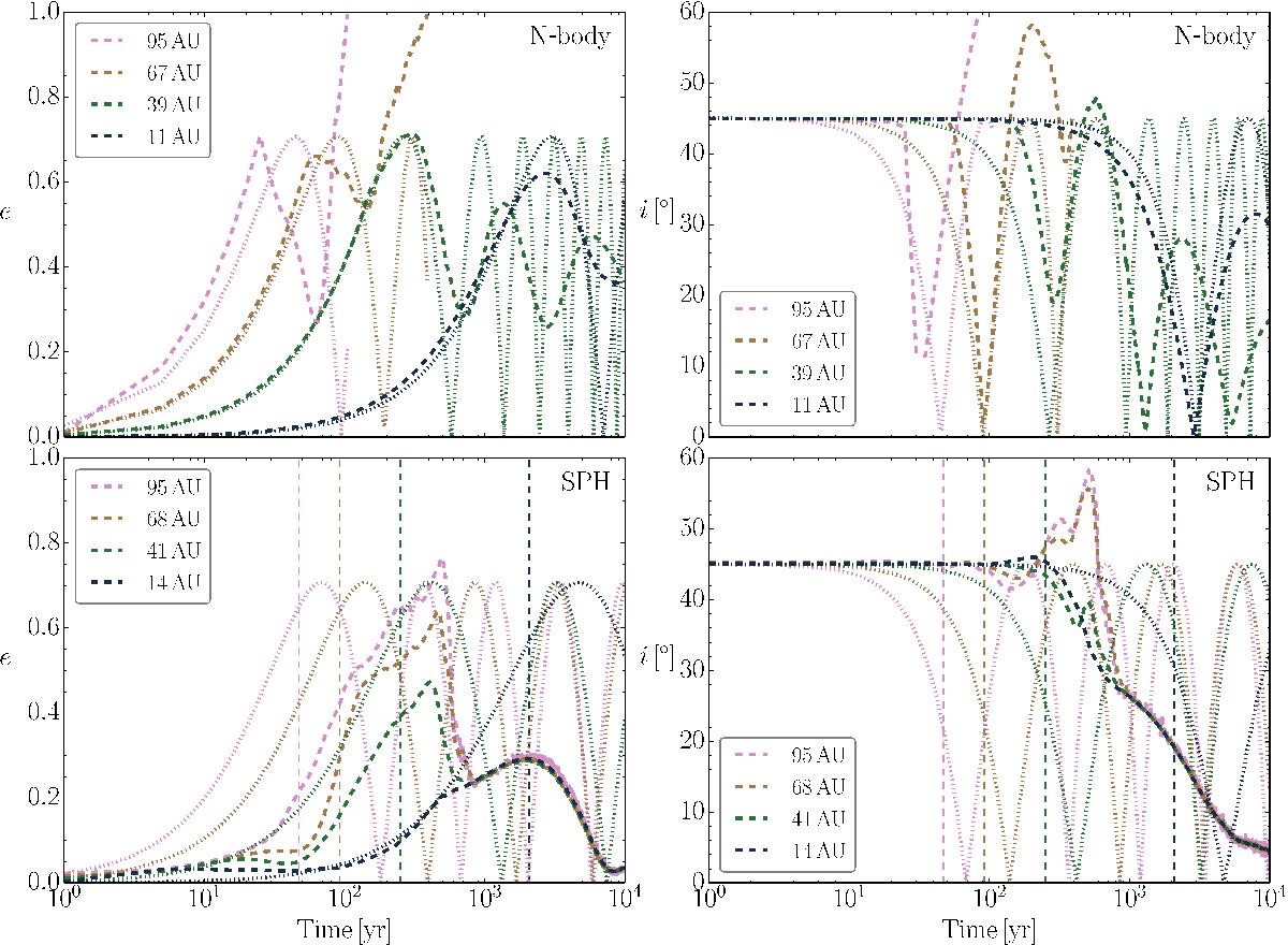
At the start of the simulation, we binned the disc in both the N-body and SPH simulation V20N6i45 in ten concentric rings, based on the minimum and maximum radius of the particles in the disc. The labels give the radius in the middle of each ring. Top panels: evolution of the eccentricity (left) and inclination (right) of four representative rings in the N-body simulation as dashed lines. Bottom panels: same quantities for the SPH simulation. The dotted lines represent the theoretically expected eccentricity and inclination for each ring, using Eq. (11) for the N-body and Eq. (5) for the SPH simulations with the average parameters of each ring. Once a ring is fully stripped, we no longer plot the theoretical values. The vertical dashed lines in the bottom panels give the time scale for eccentricity changes in the ring in the corresponding colour according to Eq. (8).

Current usage metrics show cumulative count of Article Views (full-text article views including HTML views, PDF and ePub downloads, according to the available data) and Abstracts Views on Vision4Press platform.

Data correspond to usage on the plateform after 2015. The current usage metrics is available 48-96 hours after online publication and is updated daily on week days.

Initial download of the metrics may take a while.