Highlight
Free Access

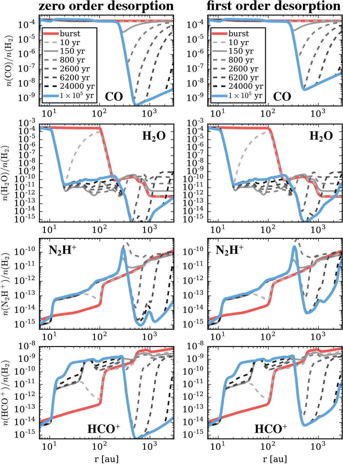
Fig. A.2

image

Radial midplane abundance profiles for the model used for the comparison to Visser et al. (2015). In contrast to the rest of the paper the abundances are given relative to molecular hydrogen like in Visser et al. (2015). Shown are, from top to bottom, CO, H2O, N2H+ and HCO+ during the burst (red solid line) and at different times in the post-burst phase (grey and blue solid lines). The left column shows a model with zeroth order desorption (PRODIMO standard) the right column a model using first order desorption. This figure can be compared to Fig. 1 of Visser et al. (2015).

Current usage metrics show cumulative count of Article Views (full-text article views including HTML views, PDF and ePub downloads, according to the available data) and Abstracts Views on Vision4Press platform.

Data correspond to usage on the plateform after 2015. The current usage metrics is available 48-96 hours after online publication and is updated daily on week days.

Initial download of the metrics may take a while.