Free Access

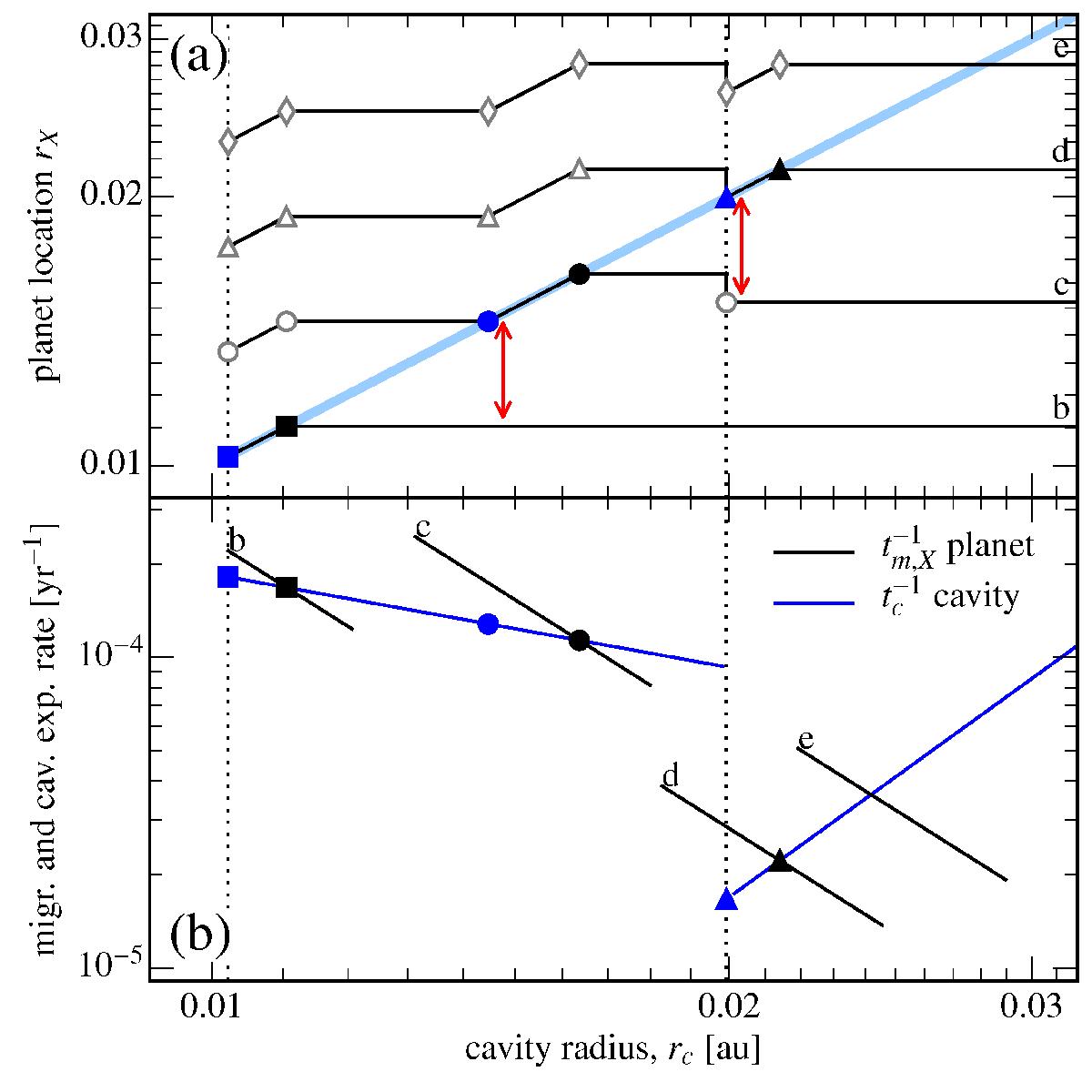
Fig. 4

image

Resonance escape. Bottom: one-sided migration rates as function of cavity radius rc for planet X (black lines; labeled) and expansion rate of the magnetospheric cavity (blue lines). The form tc(rc) is chosen to fit the orbital configuration of the TRAPPIST-1 system. The jump in tc at rc = 0.02 au indicates that g and rc(t) are temporarily constant. Blue symbols denote a planet that couples to (moves synchronously with) the cavity radius. Black symbols denote the point of decoupling (the planet falls into the cavity). Top: the location of the planets corresponding to rc(t). Red arrows indicate the point where the 3:2 resonance is broken because of divergent migration.

Current usage metrics show cumulative count of Article Views (full-text article views including HTML views, PDF and ePub downloads, according to the available data) and Abstracts Views on Vision4Press platform.

Data correspond to usage on the plateform after 2015. The current usage metrics is available 48-96 hours after online publication and is updated daily on week days.

Initial download of the metrics may take a while.