Free Access

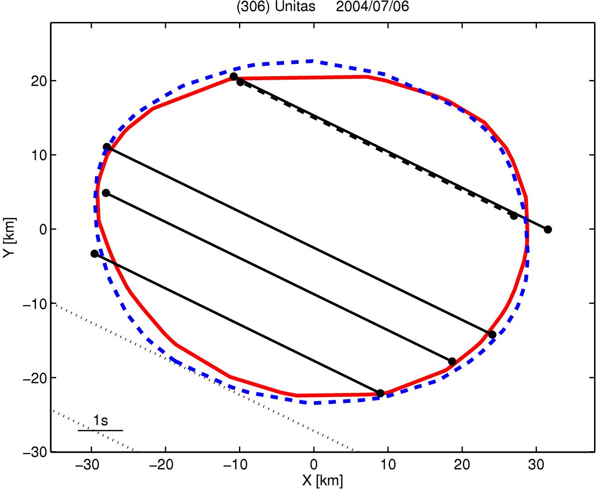
Fig. 3

image

Plane-of-the-sky silhouettes of (306) Unitas for the time of the occultation. The red solid silhouette corresponds to our model, the blue dashed silhouette corresponds to the model from Ďurech et al. (2007). The black lines represent chords reconstructed from timings and positions of individual observers. The dashed chord represents a visual observation with uncertain timing, the dotted lines are a negative observations with no occultation detected. Occultation data were taken form Dunham et al. (2016).

Current usage metrics show cumulative count of Article Views (full-text article views including HTML views, PDF and ePub downloads, according to the available data) and Abstracts Views on Vision4Press platform.

Data correspond to usage on the plateform after 2015. The current usage metrics is available 48-96 hours after online publication and is updated daily on week days.

Initial download of the metrics may take a while.