Free Access

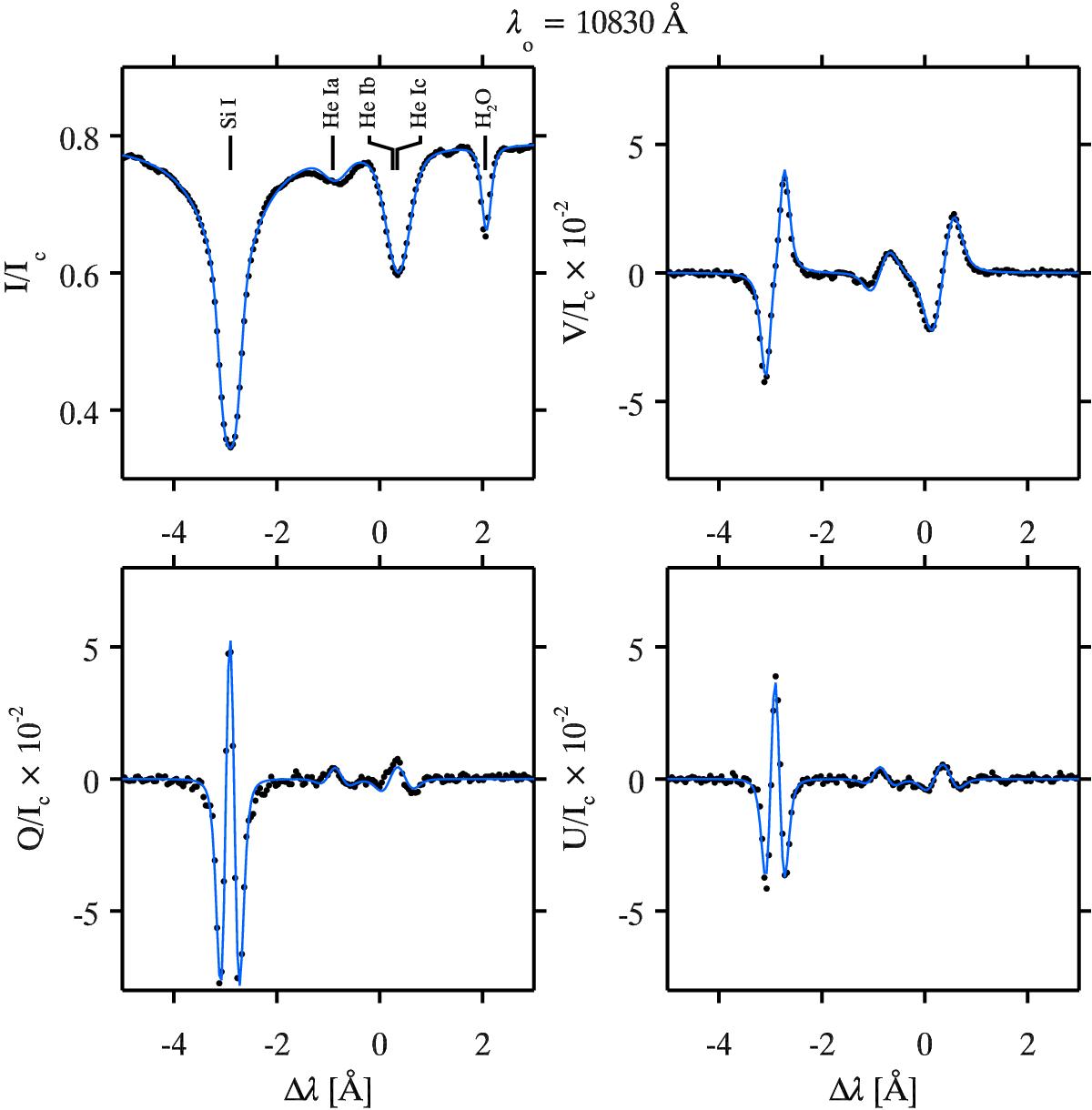
Fig. 3

image

Best fit HeLIx+ inversions of typical Stokes profiles in the penumbra. Their spatial location is marked by a red plus sign in Fig. 2a. Black dots represent observed data points and solid blue curves represent the best fits.

Current usage metrics show cumulative count of Article Views (full-text article views including HTML views, PDF and ePub downloads, according to the available data) and Abstracts Views on Vision4Press platform.

Data correspond to usage on the plateform after 2015. The current usage metrics is available 48-96 hours after online publication and is updated daily on week days.

Initial download of the metrics may take a while.