Free Access

Fig. 2

image

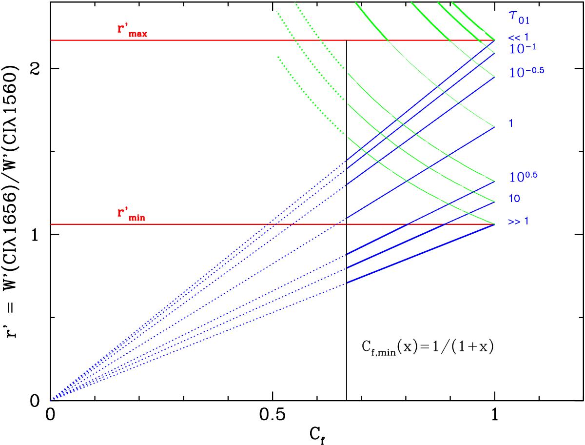
Variation in equivalent width ratio r′ = W(C iλ1656)/ W(C iλ1560) with Cf for several values of the C iλ1560 opacity (indicated in the upper right of the plot) and assuming x = 0.5. Blue and green lines correspond to C iλ1656 or C iλ1560, respectively, coinciding with the quasar emission line. The part of the plot for which Cf<Cf,min, assuming Cc = 1.0, is unphysical (dotted lines). Thick portions of lines correspond to values of r that can be exclusively obtained as a result of non-uniform covering.

Current usage metrics show cumulative count of Article Views (full-text article views including HTML views, PDF and ePub downloads, according to the available data) and Abstracts Views on Vision4Press platform.

Data correspond to usage on the plateform after 2015. The current usage metrics is available 48-96 hours after online publication and is updated daily on week days.

Initial download of the metrics may take a while.