Free Access

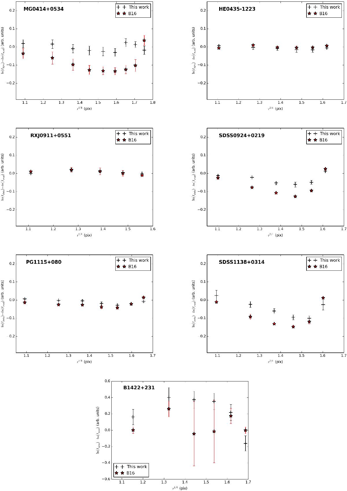
Fig. 6

image

Residual curvature when the lnI vs. r1 / 4 radial profile of the convolved best de Vaucouleurs model has been subtracted from that of the data frame. The stars show the residual curvature from the B16 models, the crosses, from this work.

This figure is made of several images, please see below:

Current usage metrics show cumulative count of Article Views (full-text article views including HTML views, PDF and ePub downloads, according to the available data) and Abstracts Views on Vision4Press platform.

Data correspond to usage on the plateform after 2015. The current usage metrics is available 48-96 hours after online publication and is updated daily on week days.

Initial download of the metrics may take a while.