Free Access

Fig. 3

image

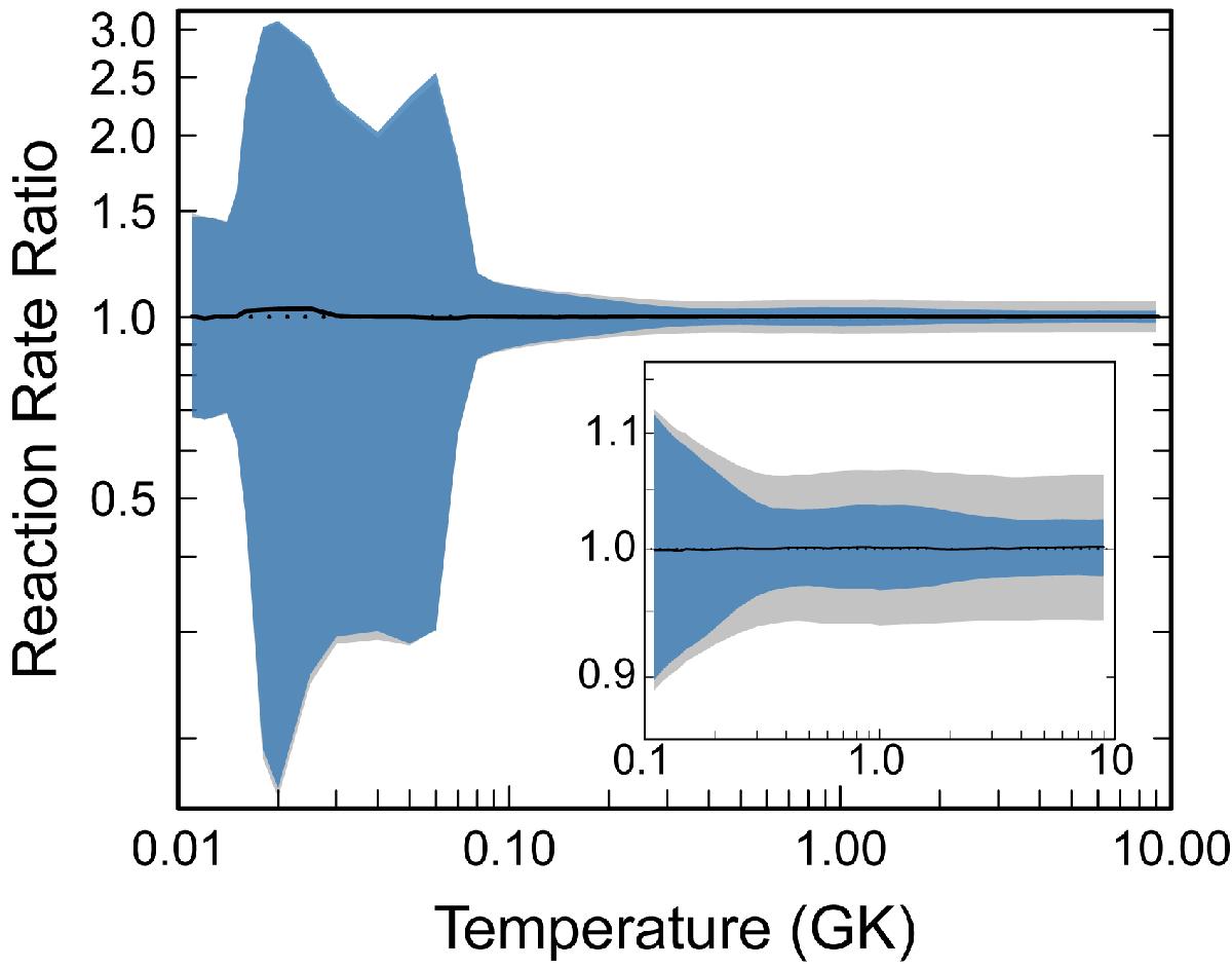
Reaction rate uncertainty comparison for the 27Al(p, γ)28Si reaction when including resonance strength correlations. Correlations only affect the reaction rate uncertainties at temperatures above 300 MK. This is because at lower temperatures, the reaction rate is dominated by only a few resonances at 72 keV, 84 keV, and 196 keV.

Current usage metrics show cumulative count of Article Views (full-text article views including HTML views, PDF and ePub downloads, according to the available data) and Abstracts Views on Vision4Press platform.

Data correspond to usage on the plateform after 2015. The current usage metrics is available 48-96 hours after online publication and is updated daily on week days.

Initial download of the metrics may take a while.